سلام و خداقوت به بچه های دهم تجربی.
امروز قراره یه آزمونک 5 سوالی از ریاضی دهم تجربی رو باهم یاد بگیریم.
دقت کنید اگه مفهوم این 5 تست رو خوب درک کنید، توی آزمون 20 آبان تقریبا سوالی نیست که نتونید جواب بدین!
امیررضا حکمت نیا- دانشجوی پزشکی دانشگاه تهران
خب بریم سراغ اصل مطلب:
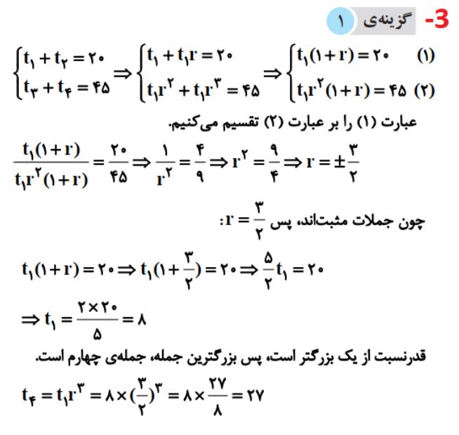
خب بریم سراغ جواب ها:
