در این مطلب قصد داریم مبحث روابط طولی در مثلث را در قالب درسنامه و تست بررسی کنیم.
در این مطلب پنج تست از مبحث فوق قرار دادیم .
اگر سوالی از این مطلب دارید در قسمت کامنت ها بپرسید .
برای دریافت پاسخ تشریحی ، مطلب را از قسمت فایل های ضمیمه دانلود کنید.
برای ارتباط بیشتر با برترها و رزرو پشتیبان ویژه، رتبه برترهای کانون قلمچی را دنبال کنید،
همچنین می توانید با شماره ۰۲۱۸۴۵۱ داخلی ۳۱۲۳ تماس بگیرید.
فاضل مهرآئین - دانشجوی مهندسی مکانیک صنعتی شریف - رتبه 333 منطقه یک
روابط طولی در مثلث قائم الزاویه

ارتفاع نظیر وتر، واسطه هندسی بین دو قطعهای است که روی وترجدا می کند، پس در شکل بالا می توان گفت:
AH^2 = BH . CH
هر ضلع زاویه قائمه، واسطه هندسی بین وتر و تصویر همان ضلع بر وتر است، پس در شکل فوق داریم:
AB^2=BC.BH و AC^2=BC . CH
قضیه سینوس ها
اگر در مثلث ABC، AB=c و AC=b و BC=a و شعاع دایره محیطی R باشد آن گاه داریم:
a/SIN A = b/SIN B = c/SIN C = 2R
کاربرد: اگر در مثلثی اندازه 2 زاویه و طول یک ضلع را داشته باشیم یا طول دو ضلع و زاویه ای که بین آن دو نیست را داشته باشیم میتوانیم بقیه اضلاع یا زوایا را به دست آوریم.
یک نتیجه مهم از قضیه کسینوس ها
1. اگر a^2 < b^2 + c^2 آن گاه A زاویه ای حاده است و برعکس.
2. اگر a^2 = b^2 + c^2 آن گاه A زاویه ای قائمه است و برعکس.
3. اگر a^2 > b^2 + c^2 آن گاه A زاویه ای باز است و برعکس.
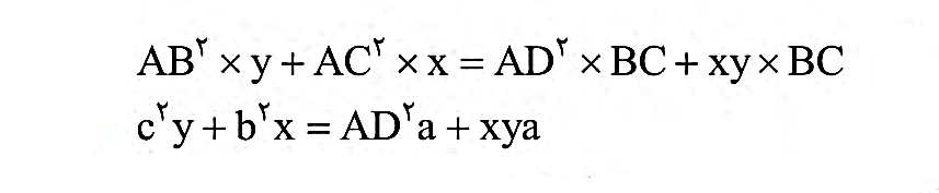
قضیه استوارت
اگر D، نقطه ای روی ضلع BC باشد، طوری که BD=x و CD=y آن گاه رابطه زیر که به قضیه استوارت مشهور است، برقرار است:


محاسبه طول میانه های مثلث
اگر در رابطه استوارت نقطه D وسط ضلع BC باشد، آن گاه AD میانه است و اگر طول میانه نظیر راس A را با ma نمایش دهیم، آن گاه داریم:
4ma2 = 2 (b2 + c2)
به همین منوال برای دیگر میانه ها نیز میتوانیم رابطه بالا را بنویسیم.
تست های جمع بندی

اگر در یک مثلث، حاصلضرب اضلاع برابر 108 و حاصلضرب سینوس زاویه های آن برابر ½ باشد، شعاع دایره محیطی مثلث کدام است؟ ( کتاب آبی – آسان)
1) 1
2) 2
3) 3
4) 4

اگر در مثلث ABC داشته باشیم b CosB= R آن گاه زاویه B چند درجه است؟ (کتاب آبی – متوسط)
1)45
2)30
3)60
4)90

در مثلثی به اضلاع 3 و 4 و 6 کسینوس بزرگترین زاویه، کدام است؟ (کتاب آبی - متوسط)
1) 11/24-
2) 1/2
3) 1/2-
4) 11/24

در شکل زیر، مقدار x کدام است؟ ( کتاب آبی - متوسط)

1)4
2)5
3)4.5
4)5.5

طول میانه های اضلاع مثلثی 3، 4 و 6 هستند. مجموع مربعات اضلاع این مثلث، کدام است؟ (کتاب آبی - متوسط)
1) 257/3
2) 251/3
3) 244/3
4) 242/3
برای دریافت پاسخ تشریحی به فایل ضمیمه مراجعه کنید.


