سلام به کنکوریهای عزیز
فایل زیر قسمتی از کلاس حسابان 23 اسفند گروه برترها با تدریس نرگس غلامی، رتبه 74 کنکور میباشد.
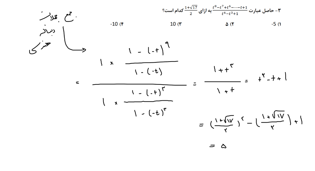
مبحث تدریس شده: دنباله
برای مشاهده برنامه زمانی کلاس حسابان و سایر درسهای رشته ریاضی دوره نوروز بر روی لینک زیر کلیک نمایید:
برنامه کلاسهای دوران طلایی نوروزی گروه برترها_رشته ریاضی

* شرکت در این کلاسها برای دانش آموزان بورسیه بنیاد قلمچی با رعایت ضوابط رایگان میباشد.
