سلام🖐🖐
در این مطلب مبحث مشتق تابع مرکب را مورد بررسی قرار میدهیم.
سوال یا پیشنهاد خودتون رو در قسمت کامنت های این مطلب مطرح کنید.
با ما همراه باشید!
![]() | فارغ التحصیل رشته مهندسی شیمی دانشگاه شریف رتبه 108 منطقه سه- کنکور ریاضی 1394 |
صفحه اینستاگرام ما
برای ارتباط بیشتر با برترها و رزرو پشتیبان ویژه ، پیج کانون برترها را دنبال کنید.
همچنین میتوانید با شماره ۰۲۱۸۴۵۱ داخلی ۳۱۲۳ تماس بگیرید.
تعداد تست های طراحی شده از این فصل در کنکور: از این مبحث در کنکور 98 یک تست طرح شده است.

ویژگیهای این مطلب:
مروری سریع بر تابع مشتق، مشتقگیری و قضایای مشتق
خلاصه نکات مهم
5 تست + پاسخ تشریحی در فایل ضمیمه
مشتق تابع مرکب (قاعدهی زنجیری)


کاربرد قاعده زنجیری در مشتقگیری توابع جبری


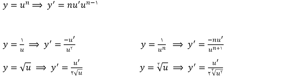
قاعده توانی

تست1
سطح تست: متوسط


تست2
سطح تست: متوسط


تست3
سطح تست: سخت


تست4
سطح تست: متوسط


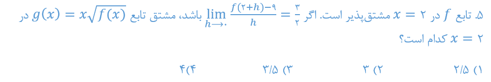
تست5
سطح تست: سخت


پاسخ کلیدی
تست1 | تست2 | تست3 | تست4 | تست5 |
گزینه1 | گزینه3 | گزینه4 | گزینه2 | گزینه3 |
پاسخ تشریحی تستها رو میتونید در فایل پی دی اف مطالعه کنید.


