سلام
در این مطلب جمع بندی کاملی از نیمسال اول حسابان دوازدهم (درسنامه+نکات مهم+تست کنکور) برای شما آماده شده است.
در صورت نیاز سوال یا پیشنهاد خودتون رو در قسمت کامنت های این مطلب مطرح کنید.
با ما همراه باشید!
![]() | فارغ التحصیل رشته مهندسی شیمی دانشگاه شریف رتبه 108 منطقه سه- کنکور ریاضی 1394 |
صفحه ی اینستاگرام ما
برای ارتباط بیشتر با برترها و رزرو پشتیبان ویژه، پیج کانون برترها را دنبال کنید، همچنین میتونید با شماره ۰۲۱۸۴۵۱ داخلی ۳۱۲۳ تماس بگیرید.
فصل1: تابع
درس1: تبدیل نمودار توابع
انتقال عمودی:


آزمون تستی:

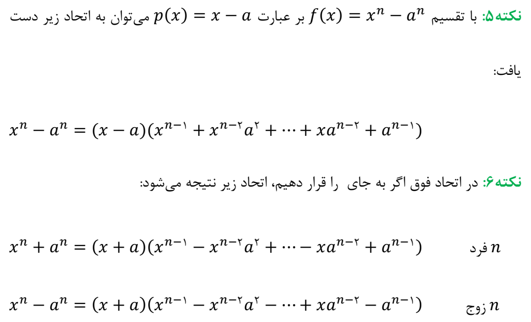
درس2: تابع درجه سوم، توابع یکنوا و بخش پذیری و تقسیم:



آزمون تستی

برای مطالعه همه مباحث و نکات مربوط به نیمسال اول حسابان دوازدهم و آزمونهای تستی و پاسخ تشریحی میتوانید فایل پی دی اف را دانلود کنید.


