سلام
در این مطلب میخواهیم نکته ها و حفظیات فصل 1 دوازدهم مطابق با بودجه بندی آزمون 23 مهر که برای پاسخگویی به سوالات آزمون باید به آنها مسلط باشید، بپردازیم.
![]() | دانشجوی مهندسی عمران دانشگاه تهران رتبه 328 منطقه 2 - کنکور ریاضی 1398 |
![]() | محمد حسین خیری دانشجوی پزشکی کاشان رتیه 800 منطقه 1 - کنکور تجربی 1400 |
• پاکیزگی و بهداشت همواره در زندگی جایگاه و اهمیت شایانی داشته است.
• از دلایل اسکان انسان در کنار رودخانه موارد مقابل بود: 1 -شست وشوی خود توسط آب 2 -تمیز کردن ابزار، ظروف و محیط زندگی خود
• حفاری های باستانی از شهر بابِل(نه بابُل) نشان میدهد که چند هزار سال پیش از میلاد، انسان ها به همراه آب از موادی شبیه به صابون امروزی برای نظافت و پاکیزگی استفاده می کردند.
• نیاکان ما به تجربه پی بردند که اگر ظرف های چرب را به خاکستر آغشته کرده و سپس با آب گرم (نه سرد) شست وشو دهند، آسان تر تمیز میشوند.
• درگذشته به دلیل عدم دسترسی، کمبود یا استفاده نکردن از صابون، سطح بهداشت فردی و همگانی بسیار پایین بود؛ به طوری که بیماری های گوناگون به سادگی در جهان گسترش می یافت.
• وبا یک بیماری واگیردار است که به دلیل آلوده شدن آب(نه خاک) و نبود بهداشت شایع می شود. این بیماری در طول تاریخ بارها در جهان همه گیر شد و جان میلیونها انسان را گرفت و هنوز هم می تواند برای هر جامعه تهدید کننده باشد و امکان ابتلا مردم به بیماری وبا وجود دارد.
•سادهترین و مؤثرترین راه پیشگیری از بیماری وبا، رعایت بهداشت فردی و همگانی در جامعه است .
• با گذشت زمان، استفاده از صابون و توجه به نظافت و بهداشت در جوامع گسترش یافته است. این پدیده سبب شد تا میکروب ها، آلودگی ها و عوامل بیماری زا در محیطهای فردی و همگانی کاهش و سطح بهداشت جامعه افزایش یابد.
• شاخص امید به زندگی شاخصی است که نشان می دهد با توجه به خطراتی که انسانها در طول زندگی با آن مواجه هستند، به طور میانگین چند سال در این جهان زندگی می کنند. این شاخص در کشورهای گوناگون و حتی در شهرهای یک کشور نیز با هم تفاوت دارد، زیرا به عوامل گوناگونی بستگی دارد.
• با افزایش سطح تندرستی و بهداشت فردی و همگانی، شاخص امید به زندگی نیز در جهان افزایش یافته است . پیشگیری و درمان بیماری ها نقش مهمی در افزایش شاخص امید به زندگی دارد.
• با گذشت زمان، امید به زندگی در سطح جهان افزایش یافته است به طوری که امروزه امید به زندگی برای بیشتر(نه همه) مردم جهان در حدود 70 تا 80 سال است . نمودار زبر مقایسه امید به زندگی برای مناطق برخوردار و کم برخوردار با میانگین جهانی را نشان می دهد.


• آلایندهها موادی هستند که بیش از مقدار طبیعی در یک محیط، نمونه ماده یا یک جسم وجود دارند. گل و لای آب، گرد و غبار هوا، لکههای چربی و مواد غذایی روی لباس ها و پوست بدن نمونههایی از انواع آنها هستند.
• یکی از روش های مناسب برای زدودن برخی از آلودگی ها، استفاده از پاک کنندهها است. این مواد، آلودگیها را به حالت محلول در می آورند.
• آگاهی بیشتر از علم شیمی به ما کمک می کند تا با چگونگی عملکرد شویندهها، ساختار شیمیایی آنها، تأثیر آنها بر محیط زیست و تأثیرهایی که بر روی بدن انسان میگذارند، آشنا شویم و شویندههایی را بشناسیم که آسیب کمتری به محیط زیست وارد می کنند.
• جدول زیر، اطلاعات مربوط به چند مورد از مواد مختلف را نشان می دهد:

• مواد قطبی در حلال های قطبی و مواد ناقطبی در حلالهای ناقطبی حل میشوند. لکه عسل به راحتی با آب شسته و در آن پخش میشود زیرا عسل حاوی مولکول های قطبی است که در ساختار خود شمار قابل توجهی گروه هیدروکسیل(نه هیدروکسید) دارند. هنگامی که عسل وارد آب می شود، مولکولهای سازنده آن با مولکولهای آب پیوند هیدروژنی برقرار می کنند و در سرتاسر آن پخش میشوند.
• چربی ها را می توان مخلوطی از اسیدهای چرب و استرهای بلند زنجیر(با جرم مولی زیاد)دانست. اسیدهای چرب، کربوکسیلیک اسیدهایی با زنجیر بلند کربنی (بخشR) هستند . نیروی بین مولکولی غالب در چربیها از نوع واندروالسی است، زیرا قسمت ناقطبی آن ها بسیار بزرگ است. تصویر زیر، نمایی از ساختار چربیها را نشان می دهد:

• برای زدودن چربیها از یک محیط، باید از صابون ها استفاده کنیم.
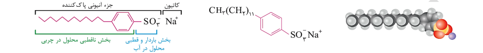
• صابون جامد را میتوان نمک سدیم اسید چرب دانست. فرمول همگانی این نوع صابونها که جامد هستند، به صورت R-COONa بوده که در آن R یک زنجیر هیدروکربنی بلند است. صابون جامد را از گرم کردن مخلوط روغن های گوناگون یا چربیها مانند روغن زیتون، نارگیل و پیه با سدیم هیدروکسید تهیه می کنند. توجه داریم که صابونهای مایع، نمک پتاسیم یا آمونیوم اسیدهای چرب هستند.
• در ساختار R- COONa(دقت کنید که پیوند بین R و C هم جزو بخش ناپیوندی به حساب می آید) که یک صابون را نشان میدهد، بخش قرمز رنگ آن ، قطبی)آبدوست( و بخش آبی رنگ آن به دلیل زنجیرهی هیدروکربنی، ناقطبی)آبگریز یا چربیدوست( است. به همین خاطر، صابون مادهای است که هم در آب و هم در چربی حل می شود.
• مخلوط آب و روغن یک مخلوط ناپایدار است زیرا به محض اینکه هم زدن آن را متوقف کنید، آب و روغن از هم جدا شده و دولایۀ مجزا تشکیل می دهند. اما اگر مقداری صابون به این مخلوط اضافه کنید و آن را به هم بزنید یک مخلوط پایدار ایجاد می شود که به ظاهر همگن است. تصویر زیر، نمایی از این فرایند را نشان می دهد:

• اغلب(نه همه) موادی که در زندگی روزانه با آنها سروکار داریم، از مخلوط دو یا چند ماده تشکیل شده اند. آب دریا، هوا، نوشیدنیها، انواع رنگها، سرامیکها، چسبها، شویندهها و داروها همگی مخلوط هستند.
• مخلوط آب و روغن و صابون یک نوع کلوئید است. کلوئید نوعی مخلوط است که ناهمگن بوده و حاوی تودههای مولکولی با اندازههای متفاوت است. شیر، ژله، سس مایونز و رنگ نمونههایی از کلوئیدها هستند.
• رفتار کلوئیدها را میتوان رفتاری بین سوسپانسیون و محلولها در نظر گرفت. در جدول زیر برخی ویژگیهای کلوئیدها با مخلوط های دیگر مقایسه می کنیم:

• هنگامی که صابون وارد آب میشود، به کمک سر آب دوست خود در آن حل می شود. از سوی دیگر، ذرههای صابون با بخش چربی دوست خود با مولکولهای چربی جاذبه برقرار میکنند. طی این فرایند، مولکولهای صابون مانند پلی بین مولکولهای آب و چربی قرار میگیرند. به این ترتیب، ذره های چربی کم کم از سطح پارچه جدا و در آب پخش میشوند. تصویر زیر، مراحل پاک شدن لکه چربی از لباس را نشان می دهد:

• با استفاده از صابون، میتوان چربیها را در آب حل کرد. تصویر زیر، مراحل انجام شدن این فرایند را نشان میدهند:

• قدرت پاککنندگی صابون به عوامل گوناگونی بستگی دارد. در واقع صابون همه لکهها را به یک اندازه از بین نمیبرد؛ زیرا عوامل مختلفی از جمله 1 -نوع پارچه 2 -دما 3 -نوع آب 4 -نوع 5 -مقدار صابون بر روی قدرت پاککنندگی آن تأثیر دارد .
• با افزایش دما و اضافه کردن آنزیم، قدرت پاککنندگی صابون بیشتر میشود. افزودن آنزیم تاثیری بیشتر از افزایش دما در قدرت صابون دارد.
• چون لکههای چربی به الیاف پلیاستری بیشتر از الیاف نخی میچسبند، پس از شستوشو، درصد لکهی باقیمانده بر روی پارچههای نخی در شرایط یکسان، کمتر از پارچه ی پلی استری است.
• آبدریا و آبهای مناطق کویری که شور هستند، مقادیر چشمگیری از یونهای کلسیم و منیزیم دارند. چنین آبهایی به آبسخت(نه آب سنگین) معروفاند.
• صابون در آب های سخت به خوبی کف نمیکند و قدرت پاککنندگی آن کاهش مییابد، زیرا صابون با برخی از کاتیونهای موجود در آب سخت رسوب تشکیل می دهد.
• صابون بر اساس معادلههای زیر با یونهای موجود در آب سخت(کاتیون منیزیم و کلسیم) واکنش میدهد:

• لکههای سفیدی که پس از شستن لباس با صابون روی آنها باقی می ماند، نشانه از تشکیل رسوب صابون با یونهای منیزیم و کلسیم دارد.
• دو دلیل مقابل، انسان را وادار به شناسایی و تولید پاککنندههای غیرصابونی کرد: 1 -نیاز به میزان زیادی چربی برای تولید صابون در حجم انبوه به دلیل افزایش جمعیت جهان 2 -صابون در همه ی شرایط به خوبی عمل نمی کند.
• شیمی دانها توانستند با استفاده از بنزن و دیگر مواد اولیه در صنایع پتروشیمی، مواد پاک کننده ای با فرمول همگانی تولید کنند. این مواد به پاککننده های غیرصابونی مشهور هستند . ساختار این مواد به صورت زیر است:

پاککنندههای غیرصابونی از مواد پتروشیمیایی طی واکنشهای پیچیده در صنعت تولید میشوند. این مواد قدرت پاککنندگی بیشتری نسبت به صابون دارند و در آب های سخت خاصیت پاککنندگی خود را حفظ می کنند زیرا با یونهای موجود در این آبها رسوب نمیدهند.
• صابون طبیعی معروف به صابون مراغه با بیش از 150 سال قدمت، معروفترین صابون سنتی ایران است. برای تهیه این صابون، پیه گوسفند و سود سوزآور را در دیگ های بزرگ با آب برای چندین ساعت می جوشانند و پس از قالبگیری آنها را در آفتاب خشک می کنند.
• صابون مراغه افزودنی شیمیایی ندارد و به دلیل خاصیت بازی مناسب، برای شستو شوی موهای چرب(نه خشک) استفاده میشود.
• سالانه حدود 200 تن صابون در شهر مراغه تولید میشود صابونهای سنتی در شهرهایی مانند آشتیان، رودبار و ... نیز تولید میشوند. از نوعی صابون سنتی در تنور نان سنگک برای چرب کردن سطح سنگها استفاده می شود.
• امروزه صابون ها و شویندههای دیگری تولید می شوند که افزون بر خاصیت پاککنندگی، خواص ویژهای نیز دارند. این صابونها، افزودنی های ویژهای دارند. به طور مثال، 1-صابون گوگرددار برای از بین بردن جوش صورت و همچنین قارچ های پوستی استفاده میشود. 2 -از صابون کلردار به منظور افزایش خاصیت ضدعفونیکنندگی و میکروبکشی استفاده می شود. 3 -از افزودن نمکهای فسفات به شویندهها، برای جلوگیری از تشکیل رسوب و ایجاد لکه به واسطهی واکنش با یون کلسیم و منیزیم استفاده می شود.
• هر چه شویندهای مواد شیمیایی بیشتری داشته باشد، احتمال ایجاد عوارض جانبی آن بیشتر خواهد بود. به همین دلیل مصرف زیاد شویندهها و تنفس بخار آنها، عوارض پوستی و بیماریهای تنفسی ایجاد می کند. بر این اساس، برای حفظ سلامت بدن و محیط زیست، استفاده از شویندههای ملایم، طبیعی و مناسب توصیه میشود.
• پاککننده های صابونی و غیرصابونی بر اساس برهم کنش میان ذرهها عمل میکنند.
• پاککنندههای دیگری وجود دارند که در کنار برهم کنش میان ذرهها، با آلایندهها واکنش میدهند.(هم برهمکنش و هم واکنش) به عنوان مثال، هیدروکلریک اسید(جوهر نمک)، سدیم هیدروکسید(محلول سود) و سفیدکننده ها از این نوع پاککنندهها هستند. این نوع از پاک کنندهها (پاککنندههایی که از نظر شیمیایی فعال هستند و خاصیت خورندگی دارند)، به پاککننده خورنده معروف بوده و نباید با پوست تماس داشته باشند.
• رسوب تشکیل شده بر روی دیواره کتری، لولهها، آب راهها و دیگهای بخار آن چنان به این سطح ها میچسبند که با صابون و پاککنندههای غیرصابونی زدوده نمی شوند. برای زدودن این رسوبها به پاککنندههایی نیاز است که بتوانند با آنها واکنش شیمیایی بدهند و آنها را به فراوردههایی تبدیل کنند که محلول در آب باشند و با آب شسته شوند.
• نوعی پاککننده که به شکل پودر عرضه می شود، شامل مخلوط سدیم هیدروکسید و پودر آلومینیم است. این پاککننده برای باز کردن مجاری مسدود شده در برخی وسایل و دستگاههای صنعتی استفاده می شود و طبق الگوی زیر استفاده میشود: گرما + فراورده های دیگر + گاز هیدروژن → آب + مخلوط آلومینیوم + سدیمهیدروکسید(سود)
• سود این نوع پاککننده با چربی موجود در مجاری واکنش داده و صابون ایجاد می کند که باعث افزایش قدرت پاککنندگی می شود.
• این واکنش نوعی واکنش گرماده است و با ایجاد گرما چربیها را ذوب می کند که سبب افزایش اثرگذاری پاککنندهها می شود.
• گاز هیدروژن آزاد شده در این واکنش به رسوبات ایجاد شده در لولهها و مجاری ضربه وارد می کند و سبب خرد شدن آنها میشود.
• چربیها بر اساس معادلهی زیر با سود واکنش داده و صابونها را تولید می کنند:

هر روز در بخشهای گوناگون زندگی افزون بر شویندهها و پاککنندهها، مقادیر متفاوتی از مواد شیمیایی گوناگون مصرف میشود که در اغلب(نه همه) آنها اسیدها و بازها نقش مهمی دارند.
• عملکرد بدن انسان به میزان مواد اسیدی و بازی موجود در آن وابسته است. اسیدهای خوراکی مزه ترش و بازها مزه تلخ دارند.
• اسیدها با اغلب(نه همه) فلزها واکنش میدهند و در تماس با پوست سوزش ایجاد میکنند. در حالی که بازها در سطح پوست همانند صابون، احساس لیزی ایجاد می کنند. توجه داریم که بازها نیز به پوست بدن آسیب میرسانند.
• برای کاهش میزان اسیدی بودن خاک، به آن آهک (CaO) می افزایند. افزودن این ماده به خاک سبب میشود تا مقدار(کمیت) و نوع مواد معدنی در دسترس گیاه تغییر کند.
• ورود فاضلاب های صنعتی به محیط زیست سبب تغییر ph میشود.
• اغلب(نه همه) داروها ترکیبهایی با خاصیت اسیدی یا بازی هستند. اغلب(نه همه) میوهها نیز دارای اسید هستند و ph آنها کمتر از 7 است.
• پیش از آنکه ساختار اسیدها و بازها شناخته شود، شیمیدان ها افزون بر ویژگی های اسیدها و بازها، با برخی(نه همه) واکنشهای آنها نیز آشنا بودند.
• سوانت آرنیوس نخستین کسی بود که اسید ها و بازها را بر یک مبنای علمی (پس قبل از آرنیوس هم کسانی دیگر بوده اند) توصیف کرد. او بر روی رسانایی الکتریکی محلول های آبی کار می کرد. یافتههای تجربی او نشان داد که محلول اسیدها و بازها رسانای برق هستند، هر چند میزان رسانایی آنها با یکدیگر یکسان نیست.
• مواد و ترکیب هایی که با حل شدن در آب، غلظت یونهای هیدرونیوم و هیدروکسید را افزایش می دهند، به ترتیب اسید و باز آرنیوس هستند. بدیهی است هر چه در محلول یون هیدرونیوم بیشتر باشد، آن محلول اسیدی تر و هرچهدر محلولی یون هیدروکسید بیشتر باشد،آن محلول بازی تر است. اگر در یک سامانه غلظت یون های هیدرونیوم و هیدروکسید با هم برابر باشد، آن سامانه حالت خنثی دارد .
خب حالا که نکات این مبحث از فصل را یاد گرفتین بریم چند تا تست از کنکور سراری1400 ببینیم:



دوستان عزیز می توانید برای دسترسی به نسخه کامل خلاصه نکات به همراه پاسخ فایل، پی دی اف زیر را دانلود کنید!
فراموش نکنید اگر سوالی در رابطه با این مبحث داشتید می توانید به راحتی در کامنت ها سوال خود را برای ما بنویسید.
دوستان عزیزم؛ برای ارتباط با رتبه برترها صفحه اینستاگرام زیر رو دنبال کنید.
با آرزوی موفقیت و کامیابی


