سلام به همه نهمی های عزیز 🖐🖐
در این مطلب به فصل هفتم کتاب ریاضی نهم میپردازیم.

🔴ویژگیهای مطلب🔴
درسنامه کامل و نکات
مثال های فراوان
پاسخ کلیدی و تشریحی در فایل ضمیمه
عبارت گویا :کسری است که صورت و مخرج آن چند جمله ای باشند.
نکته : عبارتی که متغیرآن توان منفی یا زیر رادیکال یا داخل قدر مطلق یا در مخرج کسر یا در توان باشد، گویا نیست.
مثال برای اونایی که گویا نیستن:

نکته : عبارت گویا به ازای مقادیری که مخرج کسر را صفر می کند تعریف نشده است.
مثال : عبارت گویا زیر به ازای چه مقادیری از مخرج کسر تعریف نشده است؟

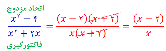
ساده کردن عبارت گویا : برای ساده کردن صورت و مخرج را به صورت حاصل ضرب دو یا چند عبارت جبری نوشته سپس عبارت های مساوی را از صورت و مخرج ساده می کنیم.
مثال : عبارت گویا مقابل را ساده کنید.

ضرب عبارت های گویا : در ضرب عبارت های گویا ابتدا ساده می کنیم سپس صورت در صورت و مخرج در مخرج ضرب می کنیم.
تقسیم عبارت های گویا : ابتدا تقسیم را به ضرب تبدیل می کنیم یعنی کسر اولی را در معکوس کسر دومی ضرب می کنیم.
جمع و تفریق عبارت های گویا : بین مخرج هامخرج مشترک(ک.م.م) مخرج هارا انتخاب می کنیم.
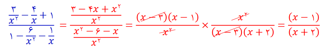
ساده کردن عبارت های مرکب : عبارت صورت کسر و عبارت مخرج کسر را جداگانه جواب داده و در آخر حاصل عبارت صورت را برحاصل عبارت مخرج تقسیم می کنیم.
مثال : حاصل عبارت زیر را به ساده ترین صورت بنویسید.

تقسیم یک جمله ای بر یک جمله ای :
1) علامت ها در هم ضرب شده
2) اعداد با هم ساده می شوند
3) حروف (متغیرها) با هم ساده می شوند : (در ساده کردن متغیرها ازقاعده تقسیم اعداد توان دار استفاده می شود)
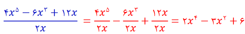
تقسیم چند جمله ای بر یک جمله ای : تک تک جملات صورت کسر را بر مخرج کسر تقسیم می کنیم.
مثال : عبارت گویا زیر را ساده کنید.

تقسیم چند جمله ای بر چند جمله ای :
برای این تقسیم مراحل زیر را به ترتیب انجام می دهیم :
1) ابتدا مقسوم و مقسوم علیه را به شکل استاندارد یعنی از بیشترین توان به کمترین توان می نویسیم.
2) اولین جمله ی مقسوم را بر اولین جمله ی مقسوم علیه تقسیم کرده و حاصل را در خارج قسمت می نویسیم.
3)خارج قسمت را در تک تک جملات مقسوم علیه ضرب کرده و حاصل را زیر عبارت مقسوم نوشته و دو عبارت را از هم کم می کنیم.
4) برای چند جمله ای به دست آمده مراحل 2 و 3 را تکرارکنیم و این تکرار را تا جایی ادامه می دهیم که درجه باقی مانده از درجه مقسوم علیه کمتر شود.
مثال :خارج قسمت و باقی مانده تقسیم زیر را به دست آورید.

نکته : اگر در تقسیم دو عبارت باقی مانده صفر شود. مقسوم بر مقسوم علیه بخشپذیراست.
و حالا وقت تسته!!!!



برای ارتباط با پشتیبان ویژه و اطلاع از شرایط مشاوره با رتبه هاي برتركانوني
به لينك زير مراجعه كنيد.
