سلام ویژه به همه کنکوریهای عزیز 🖐🖐
در این سری از مطالب به جمع بندی فیزیک برای آزمون 7 فروردین می پردازیم.

🔴ویژگیهای مطلب🔴
درسنامه و نکات
5 تست شناسنامهدار
پاسخ تشریحی در فایل ضمیمه
- #در عمل مالش برای ایجاد بار هر دو جسم دارای بار(می شوند-نمی شوند).
- ##کوچک ترین بار الکتریکی جهان(یک-یک دهم)الکترون است.
- ###نیروی الکتریکی بین دو بار با(مربع-مکعب)فاصله رابطه عکس دارد.
🔴بار الکتریکی🔴
کوچکترين باري که در طبيعت وجود دارد، بار الکتريکي الکترون و يا پروتون است که آنرا با نماد(e)نمايش مي دهند.
🔴کوانتیده بودن بار الکتريکي🔴
بار الکتريکي همواره مضرب درستي از بار پايه يعني الکترون باشد(اعداد حسابی باشد).
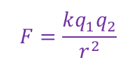
🔴قانون کولن🔴
اگه دو تا بار داشته باشیم در فاصله از هم قرار بگیرند نیروی بین آنها از رابطه زیر به دست می آید:
🔴روش مالش🔴
- *در اين روش، در اثرمالش دو ماده، تعدادي الکترون از يکي جدا شده و به ديگري انتقال مي یابد.
- **اين روش معمولا ً براي باردار کردن اجسام نارسانا بکار مي رود.در اين روش؛ دو جسم داراي بار الکتريکي همان مقدار ولی علامت های مخالف مي شوند.
- 🔴روش تماس🔴
- !هر گاه يک جسم رساناي باردار را با يک جسم رساناي خنثي تماس دهيم،مقداري بار از جسم باردار به جسم خنثي منتقل شده و بار هر دو همنام شده و يکديگر را مي رانند.
- !!در اين روش هر دو جسم بايد رسانا باشند.
🔴روش القا🔴
- **در اين روش يک جسم باردار را به جسم رساناي بدون باري نزديک ميکنند. در اثر القا، جسم داراي بار مثبت و منفي القايي مي شود که بنا به قانون پايستگي بار الکتريکي، مقدار بار مثبت و منفي القا شده برابر است.
- **ايجاد بار در رساناها بدون تماس آنها با يکديگر را القاي بارالکتريکي گويند.
- ***بارهاي ايجاد شده را بار القايي گويند.
- 🔴پايستگي بار الکتريکي (قانون بقاي بار)🔴
- براثر مالش دو جسم به يکديگر، بار الکتريکي آفريده يا نابود نميشود، بلکه مقداري بار از يک جسم به جسم ديگر منتقل ميشود و دو جسم باردار ميشوند ولي بار کل دو جسم ثابت ميماند.
🔴میدان الکتريکي🔴
- در فضاي اطراف هر جسم باردار خاصيتي بوجود مي آيد،که هر گاه جسم باردار ديگري در آن فضا قرار گيرد تحت تاثير قرارميگيرد.
- از فرمول زیر مقدارش هم به دست می آید:
🔴ویژگی خطوط میدان الکتریکی🔴
.به هم برخورد نمی کنند.
..از بار مثبت خارج و به بار منفی وارد می شوند.
...هر جا تراکم خطوط میدان بیشتر میدان در آنجا قوی تر خواهد بود.
🔴انرژي پتانسيل الکتريکي و اختلاف پتانسيل الکتريکي🔴
- تغيير انرژي پتانسيل الکتريکي يک ذره ي باردار در ميدان الکتريکيEدر يک جابجايي مشخص برابر با منفي کار انجام شده توسط نيروي الکتريکي در همان جابجايي است.
- نکته: تغيير انرژي پتانسيل بار الکتريکي به مسير حرکت بستگي ندارد.
🔴اختلاف پتانسيل الکتريکي🔴
- اختلاف پتانسيل الکتريکي دو نقطه، برابر تغيير انرژي پتانسيل الکتريکي يکاي بار الکتريکي مثبت است، وقتي يکاي بار از نقطه اول تا نقطه دوم جابجا شود.

- نکته: میدان اجسام رسانايي که در حال تعادل الکترواستاتيکي است، برابر صفر است و ميدان روي سطح رسانا عمود بر سطح رساناست، کار نيروي الکتريکي در هر جابجايي بار در داخل و روي سطح رسانا صفر است و در نتيجه همه نقاط داخل و روي سطح رسانا، پتانسيل يکساني دارند. (سطح هم پتانسيل) :)
- و حالا وقت تسته:))






برای ارتباط بیشتر با
علی اشرفپور و رزرو پشتیبان ویژه
پیج اینستاگرام و کانال تلگرام کانون برترها را دنبال کنید،
همچنین میتونید با شماره ۰۲۱۸۴۵۱ داخلی ۳۱۲۳ تماس بگیرید.
پیج اینستاگرام | کانال تلگرام کانون برترها |
![]() | ![]() |


