سلام
در این مطلب فصل دوم فیزیک دوازدهم (دینامیک) رو به طور کامل بررسی میکنیم و مهم ترین نکاتش رو میگیم
قوانین حرکت نیوتون:
قانون اول:اگر نیرو های وارد بر یک جسم متوازن باشند جسم اگر ثابت باشد ثابت میماند و یا اگر در حال حرکت باشد سرعتش ثابت میماند.
به خاصیت اجسام که میل دارند وضعیت خود را زمانی که نیروی خالص وارده به آنها صفر است حفظ کنند لختی میگوییم.
مثال: در فضای تهی خارج جو نیروی خالص وارد به کشتی فضایی صفر است بنابراین اگر موتور کشتی در چنین فضایی از کار بیفتد کشتی با سرعت ثابت به حرکتش ادامه میدهد.
در شکل مقابل اگر به آرامی نیروی وارد بر گوی سنگین را زیاد کنیم نخ بالایی گوی پاره میشود اما اگر ناگهان نخ را بکشیم نخ پایین آن پاره میشود و علت آن لختی گوی است که در حالت دوم نیروی دست فرصت پیدا نمیکند به نخ بالایی منتقل شو د.

قانون دوم:هرگاه بر جسم نیروی خالصی وارد شود، جسم تحت تأثیر آن نیرو شتاب میگیرد که این شتاب با نیروی خالص وارد بر جسم نسبت مستقیم دارد و در همان جهت نیروی خالص است و با جرم جسم نسبت وارون دارد.
𝐹𝑛𝑒𝑡 = 𝑚𝑎
قانون سوم:هرگاه جسمی به جسم دیگر نیرو وارد کند، جسم دوم نیز به جسم اول نیرویی هم اندازه و هم راستا اما در خالف جهت وارد میکند که نیروهای کنش و واکنش نام دارند. نیرو های کنش و واکنش به دو جسم مختلف وارد میشوند بنابر این اثر یکدیگر را خنثی نمیکنند.
نیروهای خاص:
وزن: نیروی گرانشی است که از طرف زمین بر جسم وارد میشود. جهت وزن همواره به سمت مرکز زمین است.
نیروی عمودی سطح Fn:نیروی عمودی تکیه گاه از طرف سطح به جسمی که روی آن قرار دارد وارد میشودو ناشی از تغییر شکل سطح تماس دو جسم است که مربوط به نیروهای بین مولکولی است.
این نیرو واکنش نیروی وزن نیست. واکنش نیروی وزن نیرویی است که از طرف جسم به زمین وارد میشود .
مقاومت شارهfd :وقتی جسمی در یک شاره قرار دارد و نسبت به آن حرکت میکند از طرف شاره نیرویی در خلاف جهت حرکت جسم به آن وارد میشود که به آن نیروی مقاومت شاره میگوینداگر جسم در هوا حرکت کند به آن مقارمت هوا میگوییم.
1.این نیرو همواره در خلاف حرکت جسم است. 2.تندی جسم بیش تر باشد افزایش مییابد. 3.مساحت در تماس افزایش یابد نیروی مقاومت شاره افزایش مییابد.
بررسی حرکت یک چترباز:
وقتی چتر را باز میکند تندی چترباز کاهش مییابد در نتیجه نیروی مقاومت هوا نیز کاهش مییابد تا زمانی که با وزن برابر شود در این زمان نیروهای وارد بر چتر باز متوارن میشود و با تندی ثابتی که به آن تندی حدی میگویند به حرکت خود به سمت پایین ادامه میدهد .



نیروی اصطکاک: نیرویی که در خلاف جهت حرکت یک جسم به آن وارد میشود و ناشی از ناهمواری های بین دو سطح است.
این نیرو به عنوان نیروی اتلافی شناخته میشود اما در زندگی روزمره به کمک این نیرو میتوانیم بایستیم یا راه برویم و خیلی دیگر ار کارهای روزمره خود را انجام دهیم.
اصطکاک ایستایی(fs): نیرویی که خلاف جهت نیروی وارد شده به جسم ساکن وارد میشود و مانع حرکت آن میشود.
اصطکاک جنبشی(fk): نیرویی است که خلاف جهت حرکت جسم به آن وارد میشود.

جسم رو به رو ساکن است بنابراین شتاب آن صفر است در این شرایط با افزایش نیروی Fبه حالتی میرسیم که جسم در آستانه حرکت قرار میگیرد در این حالت نیروی اصطکاک ایستایی بیشینه است.

نیروی کشش طناب:وقتی طناب متصل به جسمی کشیده میشود طناب جسم را با نیرویی که در راستای طناب است میکشد که به آن نیروی کشش طناب میگویند.
این نیرو در تمام نقاط یک طناب با جرم ناچیز برابر ست.
در حل سوالات مربوط به کشش طناب قوانین آسانسور برقرار است.
از طرف سطح بر جسم روبه رو دو نیروی اصطکاک و نیروی عمودی سطح وارد میشود برایند این دو نیرو:

نیروی کشسانی فنر:جهت این نیرو در جهتی است که میخواهد فنر را به حالت اولیه اش بازگرداند.
قانون هوک:
Fe=k∆x
K(ثابت فنر) به اندازه شکل و ساختار ماده فنر بستگی دارد.
هرچه فنر انعطاف پذیر تر باشد ثابت آن کوچک تر است

تکانه:
قانون دوم نیوتون را میتوان به صورت دیگری نیز نوشت:

حاصل ضرب جرم جسم در سرعت آن برابر تکانه جسم است که یک کمیت برداری و هم جهت با بردار سرعت است.

نیروی خالص متوسط وارد بر جسم بر حسب تکانه:

مساحت بین نمودار نیرو و زمان برابر تغییرات تکانه است.
شتاب نمودار تکانه زمان برابر نیرو است.
انرژی جنبشی برابر:

حرکت دایره ای یکنواخت:
در این حرکت متحرک با تندی ثابت روی یک مسیر دایره ای حرکت میکند.
با این که در این حرکت تندی متحرک ثابت است اما چون جهت سرعت تغییر میکند این حرکت شتاب دار است.
در این حرکت جسم در بازه های زمانی یکسان مسافت های برابری را طی میکند.
دوره(T):مدت زمانی که طول میکشد تا متحرک یک دور محیط دایره را طی کند.
T=t/n
بسامد(f):تعداد دور های متحرک در یک ثانیه.
f = 1/T
تعداد دور بر دقیقه(rpm):تعداد دوران های متحرک در مدت یک دقیقه.
تندی در حرکت دایره ای:
V=2πr/T
شتاب در حرکت دایره ای یکنواخت:
در بازه های زمانی خیلی کوچک در این حرکت جهت تغییرات سرعت به سمت مرکز دایره خواهد بود که شتاب با آن هم جهت است و به همین دلیل به آن شتاب مرکزگرا میگویند،از فرمول زیر محاسبه میشود:

دقت کنید که اندازه قطر را جای شعاع قرار ندهید.
نیروی مرکز گرا:
شتاب یک متحرک طبق قانون دوم نیوتون توسط نیروی خالص وارد بر آن ایجاد میشود.
بنابراین نیرویی که باعث حرکت دایره ای یکنواخت میشود به سمت مرکز دایره است و از رابطه زیر محاسبه میشود:

حرکت اتوموبیل در پیچ افقی جاده:

نیروی گرانشی:
تمام اجسام با نیروی گرانشی یکدیگر را جذب میکنند.

اگر اجسام کره ای باشندr فاصله مرکز کره ها است.
نیروی وزن نیروی گرانش زمین بر بدن ما است.

بررسی حرکت ماهواره ها:
در حرکت ماهواره ها نیروی مرکز گرا برابر نیروی گرانشی است:
در روابط زیر (r=h+Re) و g شتاب گرانش روی سطح زمین است.

سرعت دوران ماهواره به جرم آن بستگی ندارد.
دقت کنید که در حل سوالات برای محاسبه فاصله Re را نیز در نظر بگیرید.
مربع دوره گردش ماهواره ها متناسب با مکعب فاصله ماهواره از مرکز زمین است.

تست
1.معادله حرکت متحرکی به صورت 20+5t=xاست نیروی خالص وارد بر این متحرک چند نیوتون است؟
صفر 10 20 5
پاسخ: معادله حرکت این متحرک تابع درجه اولی از زمان است که نشان میدهد متحرک با سرعت ثابت حرکت میکند. چون متحرک با سرعت ثابت درحال حرکت است پس قانون اول نیوتون برای آن برقرار است و نیروی خالص وارد بر آن صفر است .
2.شخصی نیروی 1800 نیوتونی را به ارابه ای به جرم 500 کیلوگرم وارد میکند نیروی اصطکاک وارد بر این ارابه 800 نیوتون است. در مدتی که سرعت این ارابه به 6 متر بر ثانیه میرسد ارابه چه مسافتی را بر حسب متر طی میکند؟
18 2 9 3

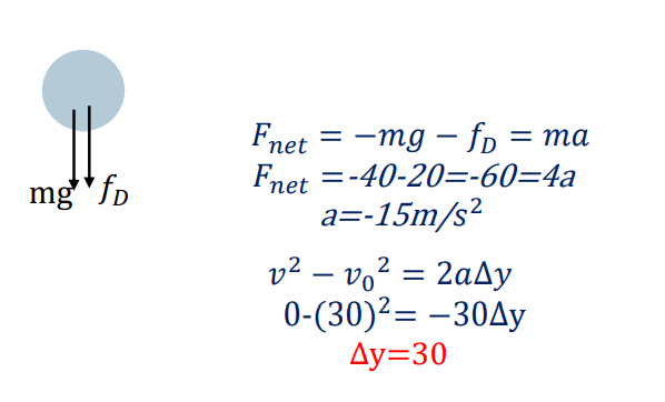
3.توپی به جرم 4 کیلوگرم به سمت بالا با سرعت 30 متر بر ثانیه پرتاب میشود اگر نیروی مقاومت هوا در مقابل حرکت آن 20 نیوتون باشد توپ در چه ارتفاعی تغییر جهت میدهد؟(g=10)
15 90 30 60

4.شخصی به وزن 400 نیوتون درون آسانسوری که با شتاب 2 تند شونده به سمت پایین حرکت میکند قرار دارد نیرویی که این شخص به کف آسانسور وارد میکند چند نیوتون است؟ (g=10)
480 320 400 3200

