درسنامه مبحث مثلثات در تابع مربوط به حسابان 2 ازمون 20 ابان 1401 مقطع دوازدهم ریاضی نگارش حنانه اتفاقی رتبه 201 منطقه 2 ریاضی 1400 دانشجو معماری دانشگاه تهران .
سوال 1 : تعیین حداکثر و حداقل در تابع

سوال 2 : تعیین حداکثر و حداقل در تابع

سوال 3 : شیب خط

سوال 4 : کسینوس و سینوس ها

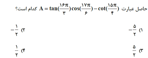
سوال 5 : ساده سازی روابط مثلثاتی

سوال 6 : رادیان

سوال 7 : مثلثات در تابع

سوال 8 : دوره تناوب

سوال 9 : رادیان در تابع

سوال 10 : تابع

