سلام
در این مطلب درسنامه و تست مبحث انواع تابع رو بررسی خواهیم کرد.
در انتهای فایل صوتی مربوط به توضیحات این مطلب ضمیمه شده که توصیه میکنم حتما گوش بدید.
![]() | مهدیه امین فارغ التحصیل رشته مهندسی شیمی دانشگاه شریف رتبه 108 منطقه سه- کنکور ریاضی 1394 |
صفحه اینستاگرام ما
برای ارتباط بیشتر با برترها و رزرو پشتیبان ویژه ، پیج کانون برترها را دنبال کنید.
همچنین میتوانید با شماره ۰۲۱۸۴۵۱ داخلی ۳۱۲۳ تماس بگیرید.
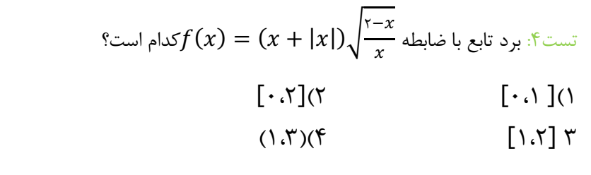
مطالب مربوط به این آزمون:
تبدیل نمودار توابع- حسابان دوازدهم- درسنامه+تست- مهدیه امین




برای مشاهده ادامه درسنامه میتوانید فایل ضمیمه را دانلود کنید.











پاسخ کلیدی
| تست1 | تست2 | تست3 | تست4 | تست5 |
| گزینه2 | گزینه1 | گزینه1 | گزینه2 | گزینه4 |
با تشکر از توجه شما


