سلام به همه کنکوریهای عزیز 🖐🖐
در این مطلب قصد داریم یک دام از کتاب فیزیک دوازدهم را برای آزمون 25 شهریور پیشبینی کنیم ، با بررسی این دام های احتمالی ، هم مبحث را بهتر یاد می گیریم و هم در صورت مواجه شدن با آن ها در آزمون اشتباه نمی کنیم .
نویسنده : علی اشرفپور، رتبه 103 منطقه 3 کنکور ریاضی 1401
مبحث: پرتاب جسم روی سطح افقی از فصل دوم فیزیک دوازدهم |
| مبحث این تست دام احتمالی،پرتاب جسم روی سطح افقی است. برای آموزش و تکنیک حل سؤالات پرتاب جسم روی سطح افقی و سوالات دیگر از این فصل ، میتونید به جزوه من برای درس فیزیک دوازدهم (دینامیک)مراجعه کنید. |
تست دام احتمالی | |
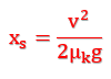
یک جعبه به جرم 10 کیلوگرم را با سرعت اولیه ای روی سطح افقی پرتاب میکنیم.پس از طی مسیری معادل 4 متر می ایستد. اگر درون جعبه آجری به جرم 5 کیلوگرم قرار دهیم و جعبه را همراه با آجر داخلش با همان سرعت اولیه روی همان سطح پرتاب کنیم، پس از طی چه مسافتی بر حسب متر می ایستد؟ 1)2 2)4 3)1 4) بسته به مقدار سرعت اولیه میتواند هر سه گزینه باشد. | |
|
صفحه اینستاگرام ما
برای ارتباط بیشتر با برترها و رزرو پشتیبان ویژه، پیج اینستاگرام و کانال تلگرام کانون برترها را دنبال کنید، همچنین میتونید با شماره ۰۲۱۸۴۵۱ داخلی ۳۱۲۳ تماس بگیرید.
پیج اینستاگرام | کانال تلگرام کانون برترها |
![]() | ![]() |


