سلام
در این مطلب میخواهیم به جمع بندی مباحث نقطه عطف به همراه حل تست بپردازیم.
همچنین سوال یا پیشنهاد خودتون رو در قسمت کامنت های این مطلب مطرح کنید.
با ما همراه باشید!
![]() | فارغ التحصیل رشته مهندسی شیمی دانشگاه شریف رتبه 108 منطقه سه- کنکور ریاضی 1394 |
صفحه اینستاگرام ما
برای ارتباط بیشتر با برترها و رزرو پشتیبان ویژه ، پیج کانون برترها را دنبال کنید.
همچنین میتوانید با شماره ۰۲۱۸۴۵۱ داخلی ۳۱۲۳ تماس بگیرید.
تعداد تست های طراحی شده از این فصل در کنکور: از این مبحث در کنکور 1400 خارج از کشور یک تست طرح شده است.
ویژگیهای این مطلب:

مروری سریع بر مبحث نقطه عطف
خلاصه نکات مهم
5 تست + پاسخ تشریحی در فایل ضمیمه
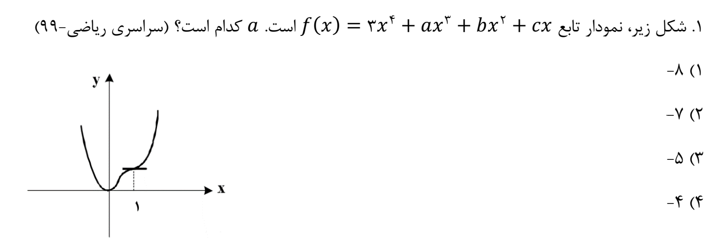
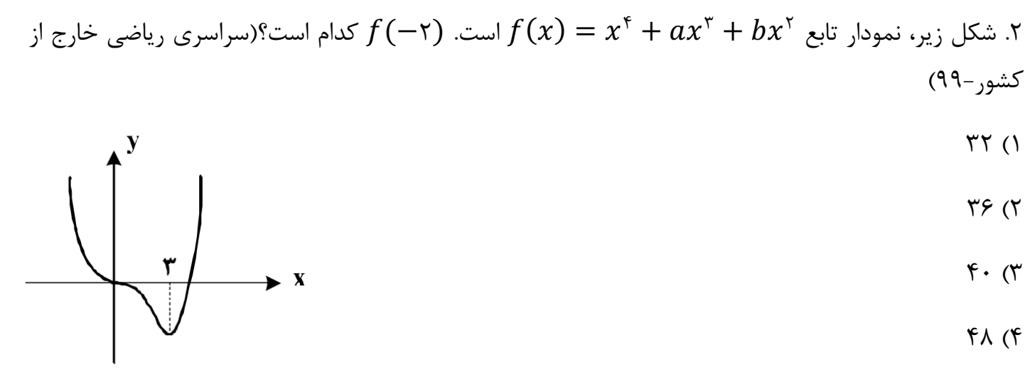
نقطه عطف

تعریف: فرض کنید تابع f در x=c پیوسته باشد، در این صورت تابع f در f نقطه عطف دارد، هرگاه دو شرط زیر برقرار باشد:
1. نمودار تابع f در c خط مماس داشته باشد.
2. جهت تقعر تابع f در c تغییر کند.
نکته1: در نقطهی عطف، یا تابع مشتق پذیر است یا خط مماس عمودی دارد.
نکته2: در نقطه عطف، خط مماس بر منحنی از منحنی عبور میکند.
روش یافتن نقطه عطف یک تابع: برای به دست آوردن نقاط عطف تابع y=f(x) ، مشتق دوم y را محاسبه کرده و آن را تعین علامت میکنیم. در هر نقطهای که ''y تغییر علامت دهد و خط مماس در آن نقطه موجود باشد (یعنی تابع f در آن نقطه پیوسته و مشتق چپ و راست برابر، هر دو عدد یا هر دو مثبت بی نهایت یا هر دو منفی بی نهایت باشند.)، f در آن نقطه عطف دارد.
نکته3: در نقطه عطف، جهت تقعر تابع عوض میشود، پس در نمودار مشتق y=f'(x) ، نقطهای نقطه عطف نمودار تابع f است که نمودار 'f در آن از صعودی به نزولی اکید (یا برعکس) تغییر جهت دهد، بنابراین:
1. نقطه ماکزیمم یا مینیمم نسبی تابع 'f ، نقطهی عطف افقی یا مایل تابع f است.
2. مجانب قائم با شاخههای یک طرفه تابع 'f ، نقطه عطف با مماس قائم تابع f است.










پاسخ کلیدی
تست1 | تست2 | تست3 | تست4 | تست5 |
گزینه1 | گزینه4 | گزینه1 | گزینه4 | گزینه3 |
پاسخ تشریحی تستها رو میتونید در فایل پی دی اف مطالعه کنید.


