سلام
در این مطلب میخواهیم به جمع بندی مبحث تشخیص یکنوایی تابع به همراه حل تست بپردازیم.
همچنین سوال یا پیشنهاد خودتون رو در قسمت کامنت های این مطلب مطرح کنید.
با ما همراه باشید!
![]() | مهدیه امین فارغ التحصیل رشته مهندسی شیمی دانشگاه شریف رتبه 108 منطقه سه- کنکور ریاضی 1394 |
صفحه اینستاگرام ما
برای ارتباط بیشتر با برترها و رزرو پشتیبان ویژه ، پیج کانون برترها را دنبال کنید.
همچنین میتوانید با شماره ۰۲۱۸۴۵۱ داخلی ۳۱۲۳ تماس بگیرید.
تعداد تست های طراحی شده از این فصل در کنکور: از این مبحث در کنکور 1400 یک تست مستقیم و یک تست ترکیبی طرح شده است.
ویژگیهای این مطلب

مروری سریع بر تابع مشتق، مشتقگیری و قضایای مشتق
خلاصه نکات مهم
5 تست + پاسخ تشریحی در فایل ضمیمه
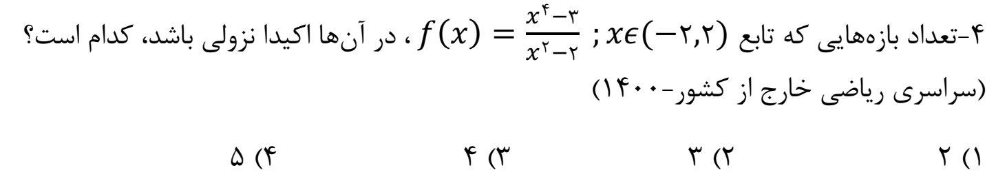
تشخیص یکنوایی تابع



سطح تست: سخت


سطح تست: متوسط


سطح تست: متوسط


سطح تست: سخت


سطح تست: متوسط

پاسخ کلیدی
تست1 | تست2 | تست3 | تست4 | تست5 |
گزینه2 | گزینه4 | گزینه1 | گزینه3 | گزینه2 |
پاسخ تشریحی تستها رو میتونید در فایل پی دی اف مطالعه کنید.


