سلام
در این مطلب میخواهیم به جمع بندی مباحث اکسترممهای نسبی و مطلق و نقاط بحرانی به همراه حل تست بپردازیم.
همچنین سوال یا پیشنهاد خودتون رو در قسمت کامنت های این مطلب مطرح کنید.
با ما همراه باشید!
![]() | فارغ التحصیل رشته مهندسی شیمی دانشگاه شریف رتبه 108 منطقه سه- کنکور ریاضی 1394 |
صفحه اینستاگرام ما
برای ارتباط بیشتر با برترها و رزرو پشتیبان ویژه ، پیج کانون برترهارا دنبال کنید.
همچنین میتوانید با شماره ۰۲۱۸۴۵۱ داخلی ۳۱۲۳ تماس بگیرید.
تعداد تست های طراحی شده از این فصل در کنکور: از این مبحث در کنکور 1400 یک تست طرح شده است.
ویژگیهای این مطلب:

مروری سریع بر تابع مشتق، مشتقگیری و قضایای مشتق
خلاصه نکات مهم
5 تست + پاسخ تشریحی در فایل ضمیمه
اکسترممهای نسبی

ماکزیمم و مینیمم نسبی:

نکات:

اکسترممهای مطلق

ماکزیمم و مینیمم مطلق:

نکات:

نقطه بحرانی


نکات:

اکسترممهای مطلق در توابع پیوسته


روش یافتن اکسترممهای مطلق در توابع پیوسته:


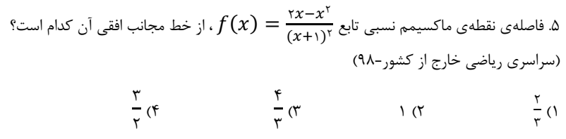
سطح تست: متوسط


سطح تست: سخت


سطح تست: متوسط


سطح تست: سخت


سطح تست: سخت

پاسخ کلیدی
تست1 | تست2 | تست3 | تست4 | تست5 |
گزینه3 | گزینه1 | گزینه1 | گزینه3 | گزینه3 |
پاسخ تشریحی تستها رو میتونید در فایل پی دی اف مطالعه کنید.


