سلام دوستان ! ✋
در این مطلب قصد داریم بخش سهمی از مبحث مقاطع مخروطی را در قالب درسنامه و تست بررسی کنیم.
در این مطلب پنج تست از سهمی قرار دادیم .
اگر سوالی از این مطلب دارید در قسمت کامنت ها از بنده بپرسید .
برای دریافت پاسخ تشریحی ، فایل اصلی سوالات را در قسمت فایل های ضمیمه دانلود کنید .
فاضل مهرآئین _ دانشجوی مهندسی مکانیک صنعتی شریف _ رتبه 333 منطقه یک
برای ارتباط بیشتر با برترها و رزرو پشتیبان ویژه، رتبه برترهای کانون قلمچی را دنبال کنید،
همچنین می توانید با شماره ۰۲۱۸۴۵۱ داخلی ۳۱۲۳ تماس بگیرید.
سهمی
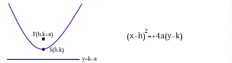
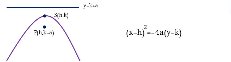
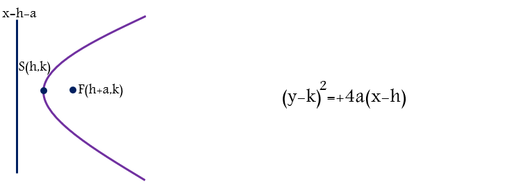
سهمی مکان هندسی نقاطی از صفحه است که از یک خط ثابت در آن صفحه و یک نقطه ثابت غیر واقع بر آن خط در صفحه، به یک فاصله است.

هر گاه HM = MF نتیجه میگیریم M روی سهمی است.
قضیه فوق دو شرطی است.
به نقطه ثابت F کانون سهمی و به خط ثابت d ، خط هادی سهمی گویند. خط گذرنده از کانون و عمود بر خط هادی را محور کانونی یا محور تقارن سهمی گویند. محل برخورد محور کانونی سهمی با نمودار سهمی را راس سهمی گویند ( نقطه S در شکل بالا).
توجه داشته باشید که راس سهمی نزدیک ترین نقطه سهمی به کانون و خط هادی آن است.

اگر NS=SF=a نتیجه میدهد NF=2a
فاصله کانون سهمی تا راس سهمی را با a نشان می دهند. عدد مثبت a را فاصله کانونی می نامند.
از کانون سهمی خطی عمود بر محور کانونی رسم می کنیم. این خط سهمی را در دو نقطه E و G قطع کرده است. به پاره خط EG وتر کانونی سهمی گویند.
اگر EF = FG = 2a نتیجه میگیریم EG = 4a
هر سهمی در یکی از چهار حالت زیر دسته بندی می شود:
1) سهمی قائم رو به بالا

2) سهمی قائم رو به پایین

3) سهمی افقی رو به راست

4) سهمی افقی رو به چپ

اگر معادله یک سهمی را باز کرده (به توان رسانده و ضرایب را ضرب کرده) به معادله گسترده سهمی خواهیم رسید که به یکی از دو حالت زیر است:
Ax^2 +Bx+Cy+D=0
Ay^2 +By+Cx+D=0
برای به دست آوردن پارامتر a می توان از رابطه رو به رو استفاده کرد: l C/4A l
علامت AC جهت دهانه سهمی را نشان می دهد. اگر مقداری منفی باشد، سهمی رو به بالا/راست است و اگر مثبت باشد، سهمی رو به پایین/چپ است.
تست ها
1. به ازای کدام مقدار a کانون سهمی 2y^2 +ay-3x=0 روی محور y است؟ (متوسط-ریاضی 91)
2
3
4
6
2. سهمی به کانون (1,2) و خط هادی به معادله X=-3 محور x را با کدام طول قطع می کند؟ (آسان-خارج از کشور ریاضی 91)
1)1/2 2)1/2- 3)1/4 4)1/4-
3. سهمی به کانون F(3,2) و خط هادی به معادله X=-1 محور x را در نقطه A قطع می کند. فاصله این نقطه تا کانون سهمی کدام است؟ (آسان-ریاضی 94)
1)2.25 2)2.5 3)2.75 4)3
4. محور تقارن یک سهمی با راس (1-,3) موازی محور X است. اگر این سهمی از نقطه (5,9) بگذرد، فاصله کانون تا خط هادی آن کدام است؟ (آسان-تجربی 96)
1)2.5 2)3 3)3.5 4)4
5. به ازای کدام مقدار a خط هادی سهمی 2y^2 -12y+ax+8=0 به معادله x=21/8 است؟ (متوسط-ریاضی 91)
1) 3 و 12 2)3 و 16 3) 5 و12 4) 5 و 16
پاسخ تست ها در فایل ضمیمه آورده شده است.


