سلام🖐🖐
در این مطلب مبحث تابع و قضایای مشتق را مورد بررسی قرار میدهیم.
سوال یا پیشنهاد خودتون رو در قسمت کامنت های این مطلب مطرح کنید.
با ما همراه باشید!
![]() | فارغ التحصیل رشته مهندسی شیمی دانشگاه شریف رتبه 108 منطقه سه- کنکور ریاضی 1394 |
صفحه اینستاگرام ما
برای ارتباط بیشتر با برترها و رزرو پشتیبان ویژه ، پیج کانون برترها را دنبال کنید.
همچنین میتوانید با شماره ۰۲۱۸۴۵۱ داخلی ۳۱۲۳ تماس بگیرید.

تعداد تست های طراحی شده از این فصل در کنکور: از این مبحث در کنکور 99 یک تست طرح شده است.

ویژگیهای این مطلب:
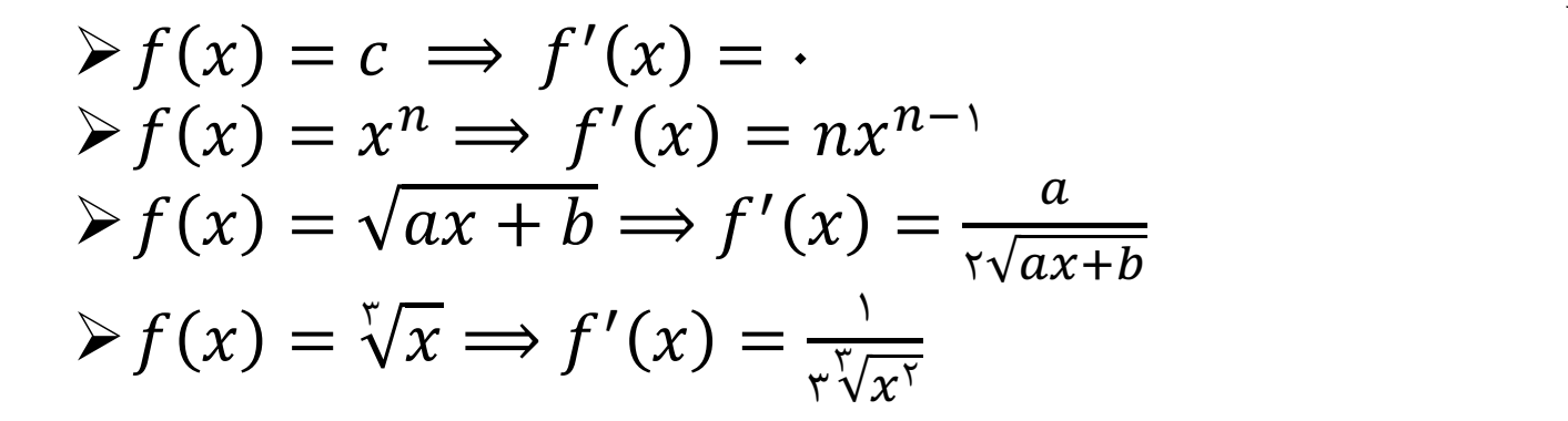
مروری سریع بر تابع مشتق، مشتقگیری و قضایای مشتق
خلاصه نکات مهم
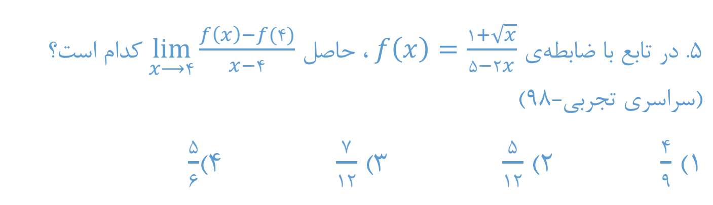
5 تست + پاسخ تشریحی در فایل ضمیمه








برای تسلط و تثبیت مباحث به حل چند تست میپردازیم.










پاسخ کلیدی
تست1 | تست2 | تست3 | تست4 | تست5 |
گزینه4 | گزینه1 | گزینه1 | گزینه3 | گزینه3 |
پاسخ تشریحی تستها رو میتونید در فایل پی دی اف مطالعه کنید.

