سلام
در این مطلب میخواهیم به جمع بندی مباحث قدرمطلق به همراه حل مثال بپردازیم.
همچنین سوال یا پیشنهاد خودتون رو در قسمت کامنت های این مطلب مطرح کنید.
با ما همراه باشید!
![]() | مهدیه امین فارغ التحصیل رشته مهندسی شیمی دانشگاه شریف رتبه 108 منطقه سه- کنکور ریاضی 1394 |
قدرمطلق و ویژگیهای آن

تساویهای مهم قدرمطلقی:

رسم نمودار تابع قدرمطلق : ابتدا نمودار y=f(x) را رسم میکنیم. سپس در جاهایی که نمودار تابع y=f(x) زیر محور ها قرار دارد، تصویر آینه وار نمودار y=f(x) را نسبت به محور x ها رسم میکنیم.
رسم نمودار شامل توابع قدرمطلق: برای رسم نمودار شامل توابع قدرمطلق، طول نقاطی که ضابطه تابع در آن عوض میشود را به دست میآوریم. سپس با افراز کل R به زیربازههایی که معادله تابع در آن فاقد قدرمطلق است، نمودار را رسم میکنیم.

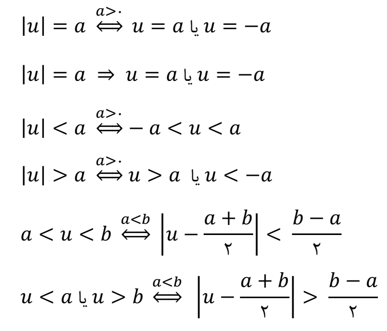
معادلات و نامعادلات قدرمطلق
برای حل معادلات و نامعادلات قدرمطلقی باید به نکات زیر توجه داشت:

روابط نامساوی مثلثی:


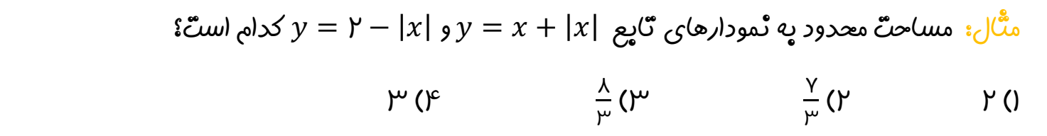
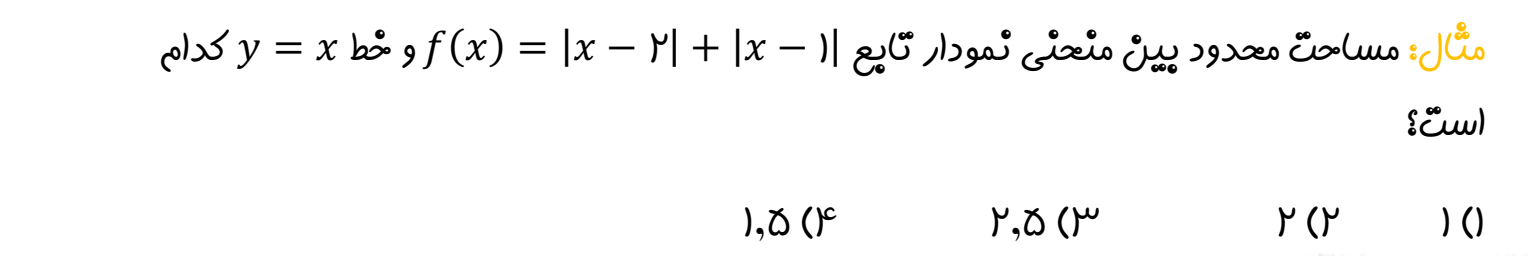
نمودارهای گلدانی و سرسرهای
نمودارهای گلدانی:


نمودارهای سرسرهای:



پاسخ تشریحی تستها رو میتونید در فایل پی دی اف مطالعه کنید.
دوستان عزیزم؛ برای ارتباط با رتبه برترها صفحه اینستاگرام زیر رو دنبال کنید.


