سلام
در این مطلب میخواهیم به جمع بندی مباحث معادلات گویا و گنک به همراه حل مثال بپردازیم.
همچنین سوال یا پیشنهاد خودتون رو در قسمت کامنت های این مطلب مطرح کنید.
با ما همراه باشید!
![]() | مهدیه امین فارغ التحصیل رشته مهندسی شیمی دانشگاه شریف رتبه 108 منطقه سه- کنکور ریاضی 1394 |
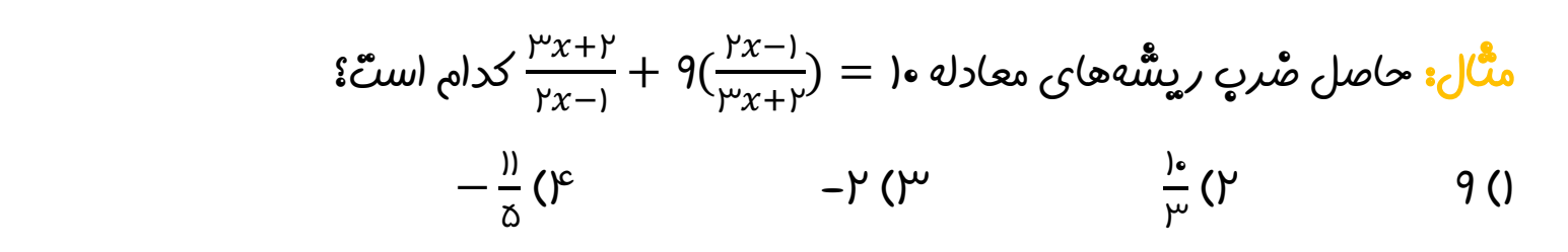
معادلات شامل عبارات گویا
برای حل معادلات شامل عبارات گویا ابتدا کوچکترین مضرب مشترک مخرج کسرها را به دست میآوریم، سپس طرفین معادله را در کوچکترین مضرب مشترک مخرج کسرها ضرب نموده و پس از ساده کردن، معادله جبری به دست آمده را حل میکنیم.
تذکر: جواب به دست آمده نباید مخرج کسرها در معادله اولیه را صفر کند، همچین با شرایط مساله باید مطابقت داشته باشد.

نکته: هرگاه در حل مسائل مربوط به معادلات گویا پس از ساده سازی، تمام متغیرها از بین رفت و به معادله بدیهی مانند 0=0 رسیدیم، در این صورت جواب معادله، تمام x هایی است که در دامنه معادله قرار دارند. و اگر به یک معادله غیرممکن مانند 8=1 رسیدیم، مجموعه جواب معادله تهی است.
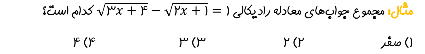
معادلات شامل عبارات گنگ
معادلاتی که در آنها عبارتهای رادیکالی مجهول هستند، معادلات گنگ نامیده میشوند. برای حل این معادلات باید طرفین معادله را به توان برسانیم و پس از ساده سازی به معادلهای بدون رادیکال برسیم و معادله را حل کنیم. جوابهای بهدست آمده باید در معادله اصلی آزمایش شوند، زیرا عملیات توان رسانی ممکن است جوابهای اضافی تولید کند.

پاسخ تشریحی تستها رو میتونید در فایل پی دی اف مطالعه کنید.
دوستان عزیزم؛ برای ارتباط با رتبه برترها صفحه اینستاگرام زیر رو دنبال کنید.


