سلام خدمت دوستان کنکوری 1401
این مطلب قسمت دوم درسنامه و تست مفصل از مبحث خازن فیزیک یازدهم هست که توسط مریم عباسی، رتبه 40منطقه و 85کشوری کنکور تجربی؛ دانشجوی رشته پزشکی دانشگاه تهران تهیه شده است.

خازن - فیزیک یازدهم - قسمت اول- مریم عباسی
شروع قسمت دوم:
فروریزش الکتریکی
اثر دیگر حضور دی الکتریک ها در خازن،افزایش حداکثر ولتاژ قابل تحمل خازن است.اگر اختلاف پتانسیل دو صفحه یک خازن را به اندازه کافی زیاد کنیم تعدادی از الکترون های اتم های ماده دی الکتریک توسط میدان الکتریکی ایجاد شده بین دو صفحه کنده می شوند و مسیر هایی رسانا درون دی الکتریک ایجاد می شود که سبب تخلیه خازن می گردد. به این پدیده فروریزش الکتریکی ماده دی الکتریک می گویند.
فروریزش الکتریکی در عایق بین دو صفحه خازن ها معمولا با ایجاد یک جرقه همراه است و در بیشتر مواقع خازن را می سوزاند. خازن ها معمولا با مقدار ظرفیت آنها و اختلاف پتانسیل بیشینه ای که می توانند تحمل کنند مشخص می شوند.
یک یاخته عصبی(نورون) را می توان با یک خازن تخت مدل سازی کرد، به طوری که غشای سلول به عنوان دی الکتریک و یون های باردار به عنوان بار های روی صفحه های خازن عمل کنند.

در حسگر کیسهٔ هوای برخی از خودروها از یک خازن استفاده می شود.
میدان الکتریکی خازن
مثال
* از دو مثال فوق می توان نتیجه گرفت در خازن جدا از باتری بر خلاف خازن متصل به باتری با وارد کردن دی الکتریک با ثابت K بین صفحات خازن میدان الکتریکی خازن یک بر روی k برابر می شود، اما با ایجاد این تغییر در خازن متصل به باتری تغییری در میدان الکتریکی خازن ایجاد نمی شود.
بنابراین می توان نتیجه گرفت در خازن جدا از باتری افزایش ثابت دی الکتریک و مساحت صفحات خازن موجب کاهش میدان الکتریکی بین صفحات می شود(وبالعکس) و افزایش یا کاهش فاصله بین صفحات تاثیری روی میدان الکتریکی بین صفحات خازن ندارد اما در خازن متصل به باتری افزایش یا کاهش ثابت دی الکتریک یا مساحت صفحات تاثیری روی میدان الکتریکی بین صفحات نداشته ولی افزایش فاصله صفحات خازن موجب کاهش میدان الکتریکی بین صفحات می شود.(و بالعکس)
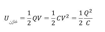
انرژی خازن
وقتی صفحه های خازن دارای بار الکتریکی می شوند در خازن انرژی ذخیره می شود.این انرژی به صورت انرژی پتانسیل الکتریکی در میدان الکتریکی فضای بین صفحه های خازن ذخیره می شود،می توان نشان داد انرژی پتانسیل ذخیره شده در خازن برابر است با:
که در آن انرژی پتانسیل الکتریکی خازن (Uخازن ) برحسب ژول(J)،بار خازن(Q) بر حسب کولن(C)،اختلاف پتانسیل دو صفحه خازن (V) برحسب ولت(V) و ظرفیت خازن(C) برحسب فاراد(F) است.
دستگاه رفع لرزش نامنظم قلب (دِفیبریلاتور)توانایی خازن برای ذخیرهٔ انرژی پتانسیل الکتریکی، اساس کار دستگاه های رفع لرزشی است که برای توقف لرزش
بطنی افراد دچار حملهٔ قلبی به کار می رود.
در این بیماری، انبساط و انقباض ناهماهنگ قلب باعث می شود خون به درستی به مغز فرستاده نشود در این دستگاه یک باتری، خازنی را تا اختلاف پتانسیل حدود باردار می کند.صفحه های رابط (کفشک ها) روی قفسهٔ سینهٔ بیمار قرار داده می شوندو خازن بخشی از انرژی ذخیره شدهٔ خود را از طریق کفشک ها به بدن بیمار منتقل می کند.
هدف از این کار این است که قلب به طور موقت از کاربیفتد و پس از آن با آهنگ منظم و طبیعی خود به کار افتد.


در صفحه اینستاگرام تجربی گروه برترها همراه ما باشید:)
برای رزرو مشاوره و رفع اشکال درسی و شرکت در کلاس های کنکوری با مشاوران سایت برترها، وارد سایت برترها شوید یا با شماره تماس 0216463 داخلی1174(حیدریان) تماس بگیرید.
