سلام خدمت دوستان کنکوری 1401
این مطلب شامل درسنامه و تست مفصل از مبحث خازن فیزیک یازدهم هست که توسط مریم عباسی، رتبه 40منطقه و 85کشوری کنکور تجربی؛ دانشجوی رشته پزشکی دانشگاه تهران تهیه شده است.

خازن
خازن وسیله ای است که می تواند بار و انرژی الکتریکی را در خود ذخیره کند.مثلا باتری های یک دوربین با باردار کردن یک خازن انرژی را در خازن فلاش دوربین ذخیره می کنند.
باتری ها معمولا می توانند انرژی را فقط با آهنگ نسبتا کندی به مدار بدهند که این آهنگ برای گسیل نور از فلاش دوربین بسیار کم است اما وقتی خازن باردار می شود، می تواند انرژی را با آهنگ بسیار زیادی برای فلاش زدن آماده کند.
شکل زیر چند خازن را در اندازه ها و شکل های مختلف نشان میدهد.
شکل بعد اجزای اصلی یک خازن معمولی را نشان می دهد که شامل دو رسانا با هر شکلی است. این رساناها را صفحه های خازن می نامیم.

شکل زیر آرایش خازنی موسوم به خازن تخت را نشان می دهد که شامل دو صفحه رسانا با مساحت A است که با فاصله d (که در برابر ابعاد صفحه ها ناچیز است) از هم قرار گرفته اند.

باردار(شارژ) کردن خازن: روش ساده و مرسوم برای باردار کردن خازن قرار دادن آن در مدار الکتریکی ساده ای است که یک باتری دارد. وقتی کلید K بسته(وصل) شود بار از طریق سیم های رسانا جریان می یابد. این شارش بار تا هنگامی ادامه پیدا می کند که اختلاف پتانسیل میان دو صفحه ی خازن با اختلاف پتانسیل میان دو پایانه باتری یکسان شود.
وقتی یک خازن باردار می شود، صفحه های آن دارای بار هایی با بزرگی یکسان،ولی با علامت مخالف می شود: Q+ و Q-. با این حال بار یک خازن را به صورت Q نشان می دهند که همان بار صفحه مثبت است.بین دو صفحه خازن باردار یک میدان الکتریکی ایجاد می شود که خطوط این میدان از صفحه مثبت به منفی است.

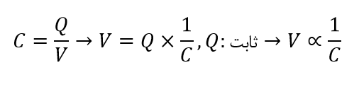
ظرفیت خازن: اگر اختلاف پتانسیل بین صفحه های خازن را زیاد کنیم،بار خازن(Q) نیز به همان نسبت زیاد می شود. به عبارتی نسبت بار خازن(Q) به اختلاف پتانسیل بین صفحه های خازن در یک خازن همواره مقداری ثابت است که به این نسبت ثابت،ظرفیت خازن می گویند و آن را با C نشان می دهند.عبارت ظرفیت الکتریکی را نخستین بار ولتا در تشابه با ظرفیت گرمایی به کار برد.بنا به دلایل تاریخی، قدر مطلق اختلاف پتانسیل بین دوصفحه خازن را با V نمایش می دهند.بنابراین:
نکته:ظرفیت خازن به اندازه بار خازن و نیز اختلاف پتانسیل دو صفحه آن بستگی ندارد.
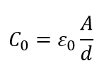
ظرفیت خازن تخت: آزمایش و محاسبه نشان می دهد که ظرفیت یک خازن تخت با مساحت صفحه های A و فاصله جدایی صفحه های d، از رابطه زیر بدست می آید:
حال اگر فضای بین صفحه های این خازن را با یک دی الکتریک با ثابت دی الکتریک K کاملا پر کنیم، برای ظرفیت خازن جدید داریم:
نکته1:در یک میکروفون خازنی،با ارتعاش صفحه ی متحرک(دیافراگم) خازن بر اثر صدا فاصله ی صفحه های خازن تغییر می کند که به ایجاد یک سیگنال الکتریکی می انجامد.همچنین برخی از صفحه کلید های رایانه بر مبنای تغییر ظرفیت خازن عمل می کنند هر کلید این صفحه به یک سر پایه ای نصب شده است که سر دیگر آن به یک صفحه فلزی متحرک متصل است. این صفحهٔ فلزی خود توسط یک دی الکتریک انعطاف پذیر از صفحهٔ فلزی ثابتی جدا شده است و درواقع این دو صفحه یک خازن تخت را تشکیل می دهند. با فشار دادن کلید، صفحهٔ متحرک به صفحهٔ ثابت نزدیک می شود و ظرفیت خازن افزایش می یابد این تغییر ظرفیت به صورت سیگنالی الکتریکی توسط مدار های الکترونیکی رایانه آشکار می شود و بدین ترتیب مشخص می شود که کدام کلید فشار داده شده است.
نکته2: پیشتر ذکر شد که در یک خازن ظرفیت خازن همواره مقداری ثابت است، نکته ای که باید به آن توجه کرد این است که با وارد کردن دی الکتریک بین صفحات خازن یا تغییر مساحت یا فاصله صفحات خازن، چون به نوعی با خازنی جدید روبرو هستیم ظرفیت خازن تغییر خواهد کرد.
نکته3:ثابت دی الکتریک خلا برابر یک است و ثابت دی الکتریک سایر مواد نارسانا بزرگتر از 1 است، همچنین ثابت دی الکتریک گازها بسیار نزدیک به 1 است بنابراین ثابت دی الکتریک هوا را با تقریب مناسبی 1 در نظر میگیریم.
نکته4:منظور از A در رابطه فوق مساحت سطح مشترک و رودرروی صفحه های خازن است. مثال:
نکته5:در یک خازن با صفحه های متصل به پایانه های یک باتری،اختلاف پتانسیل دو سر خازن ثابت است، بنابراین هر تغییری در ظرفیت خازن باعث می شود بار خازن به همان نسبت تغییر کند.
نکته6:در یک خازن منزوی(خازنی که صفحه های آن به باتری و یا خازن دیگری وصل نیست) بار الکتریکی خازن ثابت است، بنابراین اختلاف پتانسیل دو صفحه خازن متناسب با عکس طرفیت خازن تغییر می کند.
مثال: در هر یک از حالت های زیر تغییر ظرفیت خازن،اختلاف پتانسیل دوسر خازن و بار الکتریکی خازن را بررسی کنید.
توجه: می دانیم که ضرب یک عدد بزرگتر از یک به عدد مثبت باعث افزایش عدد مثبت و ضرب عددی بین صفر و یک به عدد مثبت باعث کاهش عدد مثبت خواهد شد ضمنا می دانیم VوCوQ خازن اعدادی مثبت هستند. پس اگر K عددی بزرگتر از 1 باشد K برابر شدن به معنای افزایش کمیت ها و یک بر روی k برابر شدن به معنای کاهش کمیت ها خواهد بود همچنین اگر K عددی بین صفر و 1 باشد K برابر شدن به معنای کاهش کمیت ها و برابر شدن به معنای افزایش کمیت ها خواهد بود.
در صفحه صفحه اینستاگرام تجربی گروه برترها همراه ما باشید:)
برای رزرو مشاوره و رفع اشکال درسی و شرکت در کلاس های کنکوری با مشاوران سایت برترها، واردسایت برترهاشوید یا با شماره تماس 0216463 داخلی1174(حیدریان) تماس بگیرید.
