سلام به همه کنکوریای عزیز🖐🖐🖐🖐
در این مطلب به بررسی مبحث تکانه می پردازیم.
این مبحث در فصل دوم فیزیک دوازدهم قرار دارد.
![]() | متین قنبرزاده-دانشجوی مهندسی مکانیک دانشگاه تهران |
تکانه
-تکانه، یک کمیت برداری است و جهت آن، همان جهت بردار سرعت است.
-اگر جسمی ساکن باشد، تکانه آن صفر است. چون سرعت آن صفر است.
-یکای تکانه Kg.m/s است.

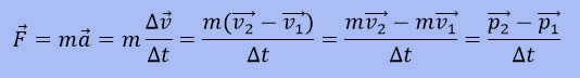
بنابر قانون دوم نیوتون داریم:

پس نیروی وارد بر جسم برابر تغییرات تکانه بر زمان است:

در نتیجه تغییرات تکانه را به این صورت نیز می توان نوشت:

تغییر تکانه یک جسم را می توان از مساحت زیر نمودار نیرو-زمان محاسبه کرد.

شیب خط مماس بر نمودار تکانه-زمان برابر اندازه نیروی لحظه ای است.

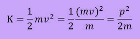
رابطه بین انرژی جنبشی و تکانه
انرژی جنبشی یک کمیت نرده ای است و جهت ندارد. اما تکانه یک کمیت برداری است و جهت دارد.
اندازه تکانه متناسب با اندازه سرعت است اما اندازه انرژی جنبشی با توان دوم سرعت متناسب است.

برای تسلط کامل بر مباحث فیزیک بهترین کار حل تست کنکور های سال های گذشته است پس در ادامه به حل
5 تست از کنکور های سال گذشته
می پردازیم.
1)
جسمی به جرم 50 گرم از ارتفاع 60 متری رها می شود و در لحظه ای سر عت آن به 14 متر بر ثانیه می رسد و یک ثانیه پس از آن سرعت جسم به 23 متر بر ثانیه می رسد تغییر تکانه جسم در این یک ثانیه چند کیلوگرم متر بر ثانیه است؟
تجربی-داخل-93
1)9/20 | 2)9/10 | 3)23/20 | 4)23/10 |
2)در شکل زیر به جسمی که در سطح افقی در حال سکون بوده نیرو هایی مطابق شکل اعمال می شوند.اگر ضریب اصطکاک ایستایی و جنبشی بین جسم و سطح افقی 0/5 و 0/3 باشد تغییر تکانه جسم در مدت دو ثانیه چند کیلوگرم متر بر ثانیه است؟
ریاضی-خارج-98

| 1)صفر | 2)9 | 3)10 | 4)28 |
3)یک توپ تنیس به جرم 200 گرم از ارتفاع 320 سانتی متری زمین رها می شود و پس از برخورد به زمین تا ارتفاع 125 سانتی متری زمین بر می گردد. اگر زمان تماس توپ با زمین 13 میلی ثانیه باشد. بزرگی نیروی متوسط آن در ضمن تماس چند نیوتون و جهت آن به کدام سو است؟
ریاضی-داخل-97
| 1)100.بالا | 2)100.پایین | 3)200.پایین | 4)200.بالا |
4)بزرگی تکانه جسمی به جرم دو کیلوگرم برابر 6 کیلوگرم متر بر ثانیه است.انرژی جنبشی جسم چند ژول است؟
ریاضی-داخل-96
| 1)3 | 2)6 | 3)9 | 4)12 |
5)اگر جرم جسم 5/8Bجرم جسم A وتکانه جسم 4/3A تکانه جسم B باشد.نسبت انرژی جنبشی جسم A به انرژی جنبشی جسم B کدام است؟
ریاضی-داخلی-99
| 1)10/9 | 2)9/10 | 3)6/5 | 4)6/5 |
پاسخ کلیدی تست ها
شماره سوال | گزینه ها | |||
سوال یک | 1 | 2 | 3 | 4 |
| سوال دو | 1 | 2 | 3 | 4 |
| سوال سه | 1 | 2 | 3 | 4 |
| سوال چهار | 1 | 2 | 3 | 4 |
| سوال پنج | 1 | 2 | 3 | 4 |
پاسخ تشریحی تست ها در فایل ضمیمه قرار دارد.

