سلام دوستان !🖐
در این مطلب پنج تست از حرکت بر خط راست ( مطابق با آزمون 21 آبان ) قرار دادیم .
از مبحث حرکت شناسی ، چهار تست مستقیم در کنکور طرح خواهد شد ( معادل 10 درصد کل فیزیک سه پایه )
اگر سوالی از این مطلب دارید در قسمت کامنت ها از بنده بپرسید .
برای دریافت پاسخ تشریحی ، فایل اصلی سوالات را در قسمت فایل های ضمیمه دانلود کنید .
برای ارتباط بیشتر با برترها و رزرو پشتیبان ویژه، پیج کانون برترها را دنبال کنید، همچنین می توانید با شماره ۰۲۱۸۴۵۱ داخلی ۳۱۲۳ تماس بگیرید.
تست 1 ( سراسری تجربی 98 )
نمودار سرعت – زمان متحرکی که در مسیری مستقیم در حرکت است ، به صورت شکل روبرو است . اگر سرعت متوسط متحرک در این 25 ثانیه برابر 10m/s باشد ، بیشینیۀ سرعت متحرک در ضمن حرکت ، چند متر بر ثانیه است ؟

1 ) 20 | 2 ) 25 | 3 ) 40 | 4 ) 50 |
تست 2 ( سراسری تجربی 92 )
متحرکی در مسیر مستقیم حرکت می کند و نمودار سرعت زمان آن مطابق شکل روبرو است . شتاب متوسط این متحرک در بازه زمانی t = 2s تا t = 12s چند متر مربع بر ثانیه است ؟

1 ) 0.1 | 2 ) 0.5 | 3 ) 0.7 | 4 ) صفر |
تست 3 ( سراسری ریاضی 89 )
متحرکی در مسیر مستقیم و با شتاب ثابت ، فاصلۀ 80 متری از A تا B را در مدت 8 ثانیه طی می کند و در لحظۀ رسیدن به نقطۀ B سرعتش به 15 m/s می رسد . اندازۀ شتاب متحرک چند متر بر مربع ثانیه است ؟
1 ) 3/2 | 3/4 | 3 ) 5/2 | 4 ) 5/4 |
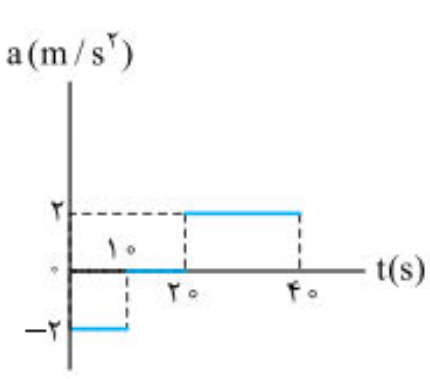
تست 4 ( سراسری تجربی 96 )
نمودار شتاب – زمان متحرکی که از حال سکون روی محور x حرکت می کند ، مطابق شکل روبرو است . در بازۀ زمانی t1 = 20s تا t2 = 35s کدام مورد درست است ؟

1 ) حرکت تندشونده است . | 2 ) حرکت کندشونده است . | 3 ) جهت حرکت یک بار تغییر می کند . | 4 ) متحرک در جهت محور x حرکت می کند . |
تست 5 ( سراسری ریاضی 99 )
گلوله ای به جرم 100g در شرایط خلأ از ارتفاع h رها می شود و پس از مدتی به زمین می رسد . اگر انرژی جنبشی گلوله در لحظۀ برخورد به زمین 24.2J باشد ، سرعت متوسط گلوله در آخرین ثانیۀ حرکتش چند متر بر ثانیه است ؟ ( g = 10m/s^2 )
1 ) 22 | 2 ) 17 | 3 ) 15 | 4 ) 12 |
پاسخنامه کلیدی
| شماره سوال | گزینه ها | |||
| 1 | 1 | 2 | 3 | 4 |
| 2 | 1 | 2 | 3 | 4 |
| 3 | 1 | 2 | 3 | 4 |
| 4 | 1 | 2 | 3 | 4 |
| 5 | 1 | 2 | 3 | 4 |
موفق باشید !


