سلام دوستان عزیز
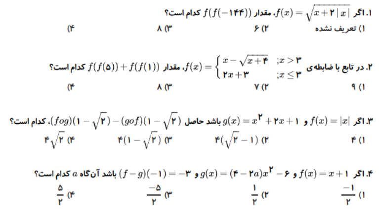
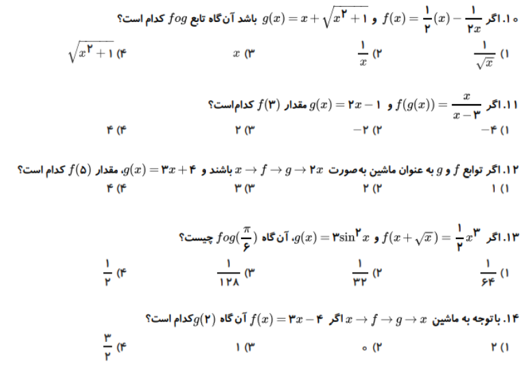
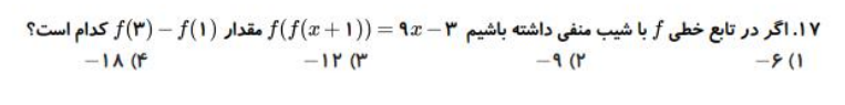
در این مطلب میخواهیم با هم به یک آزمونک جمع بندی از کل تابع 3 پایه بپردازیم، پس با ما همراه باشید. این آزمونک شامل 35 سوال تستی می باشد.
برای دسترسی به خلاصه نکات جمع بندی تابع به مطلب زیر مراجعه کنید.
جمع بندی کل تابع - ریاضی دوازدهم - خلاصه نکات - نوید آرمات
![]() | دانشجوی مهندسی عمران دانشگاه تهران رتبه 328 منطقه 2 - کنکور ریاضی 1398 |
![]() | محمد حسین خیری دانشجوی پزشکی کاشان رتبه 800 منطقه 1 - کنکور تجربی 1400 |
دوستان عزیز هر چیزی را که برای فهم درست تابع نیاز بود در این مطلب آوردیم.
برای دسترسی به نسخه کامل تست ها با پاسخ، پی دی اف زیر را دانلود کنید!
فراموش نکنید اگر سوالی در رابطه با این مبحث داشتید می توانید به راحتی در کامنت ها سوال خود را برای ما بنویسید.
با آرزوی موفقیت و کامیابی


