در این مطلب قصد داریم درس سه هندسه دهم را که در آزمون 9 مهر تست داده می شود را مرور و جمع بندی کنیم.
دوستان عزیزم ما تصمیم گرفتیم برای این که بتونیم ارتباطمون رو با هم بیشتر کنیم و قدم به قدم کنارتون باشیم، صفحه اینستاگرام رتبه برترها رو بسازیم و همراهتون باشیم
فاضل مهرآئین _ دانشجوی مهندسی مکانیک دانشگاه صنعتی شریف
چندضلعی : شکل بسته ای که از اجتماع چند پاره خط (حداقل3تا) متوالی تکیل شده باشد به طوری که دو پاره خط متوالی در یک راستا نباشند.
چندضلعی محدب : چند ضلعی که اگر هر ضلع آن را امتداد بدهیم تمام شکل یک طرف آن قرار گیرد. اگر چندضلعی محدب نباشد مقعر است و دست کم یک زاویه بیش از 180 دارد.
متوازی الاضلاع : چهار ضلعی که اضلاع روبه روی هم در آن موازی باشد.
ویژگی ها : اضلاع مقابل به هم برابرند . قطر ها منصف اند. زوایای مقابل برابر و مجاور ها مکمل اند . اگر دو ضلع مقابل در چهار ضلعی مساوی و موازی باشند آن چهارضلعی متوازی الاضلاع است.
مستطیل : متوازی الاضلاعی که یک زاویه قائم داشته باشد. قطر ها برابرند.
لوزی : متواضی الاضلاعی که دو ضلع مجاور با هم برابر باشند.
ویژگی : قطر ها عمود و نیمساز زاویه ها هستند.
مربع : متواضی الاضلاعی که هم لوزی و هم مستطیل باشد.
ذوزنقه : چهار ضلعی که فقط دو ضلع آن موازی باشد.
ویژگی : زوایای مجاور به هر ساق مکمل اند . خطی که از نقطه برخورد دو قطر موازی قاعده ها رسم شود در این نقطه نصف میشود یعنی OM=ON و نیز PQ = RT

وسطهای دو قاعده و نقطه برخورد دو قطر و نقطه برخورد دو ساق در یک راستا هستند. قطر های ذوزنقه متساوی الساقین برابر هستند.
نکته : چهارضلعی حاصل از برخورد نیمسازهای یک متوازی الاضلاع که لوزی نباشد مستطیل است. چهار ضلعی حاصل از برخورد نیم ساز های مستطیلی که مربع نباشد مربع است و اگر طول و عرض مستطیل a , b باشد ضلع مربع برابر است با :

چهارضلعی حاصل از برخورد نیم ساز های ذوزنقه متساوی الساقین کایت است.
اگر وسط های هر چهارضلعی دلخواه را به هم وصل کنیم متوازی الاضلاع بوجود می آید.
در مثلث سه میانه همرس اند و نقطه همرسی هر میانه را به نسبت 1 به 2 قطع میکند.
در مثلث قائم الزاویه میانه وارد بر وتر نصف وتر است و اگر یک زاویه 15 درجه داشته باشد ارتفاع نظیر وتر ربع وتر است.
مساحت :اگر قطرهای یک چهارضلعی بر هم عمود باشند مساحت آن برابر نصف حاصلضرب دو قطر است . مساحت مثلث متساوی الاضلاع به ضلع a برابر است با:
مساحت 6 ضلعی منتظم به ضلع a برابر است با :
اگر در یک چهارضلعی محدب از هر راس خطی موازی قطر رسم کنیم مساحت چهار ضلعی جدید دو برابر مساحت اولیه است.

در ذوزنقه مساحت دو مثلث محدود به قطر ها و ساق ها برابر است.
دو نکته
1) مجموع فواصل هر نقطه روی قاعده مثلث متساوی الساقین از ساق ها برابر ارتفاع نظیر یکی از ساق هاست.

2) مجموع فواصل هر نقطه دلخواه درون مثلث متساوی الاضلاع برابر ارتفاع مثلث است.

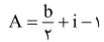
در چند ضلعی های شبکه ای b نقاط مرزی و i نقاط درونی و A مساحت است و برابر است با:

تست ها
در شکل زیر MA/MB=2/3 مساحت مثلث رنگی چند درصد متواضی الضلاع است؟

20
24
25
30
2/9 1/6 3/14 1/14
پاسخ تست ها در فایل ضمیمه میباشد
