سلام
در این مطلب میخواهیم به جمع بندی فصل توان های گویا و عبارت های جبری بپردازیم.
همچنین سوال یا پیشنهاد خودتون رو در قسمت کامنت های این مطلب مطرح کنید.
با ما همراه باشید!
مهدیه امین-فارغ التحصیل رشته مهندسی شیمی دانشگاه شریف
ریشه گیری


نکته3: هر عدد بین صفر و 1 هرچه به توان بزرگتری برسد، کوچکتر شده و هرچه به فرجهی بزرگتری برسد، بزرگتر میشود.
نکته4: هر عدد بین صفر و 1- هرچه به توان مرتبه فرد بزرگتری برسد، بزرگتر شده و هرچه به فرجهی مرتبه فرد بزرگتری برسد، کوچکتر میشود.

ساده کردن رادیکال
در یک عبارت رادیکالی اگر فرجه و توان عبارت زیر رادیکال به عدد خاصی مانند k بخش پذیر باشد، آنگاه:
1. k عددی فرد باشد:

2. k عددی زوج باشد:

هرگاه چند رادیکال ضریبدار که در هم ضرب میشوند، زیر یک رادیکال قرار گرفته باشند، برای ساده کردن آنها ابتدا اعداد را زیر رادیکال میبریم و سپس فرجههای رادیکالهای پشت سرهم را در هم ضرب میکنیم.



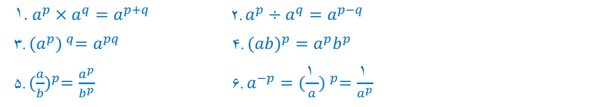
توان رسانی با توان اعداد گویا
هر عدد رادیکالی را میتوان به صورت یک عدد با توان گویا نشان داد. اگر a>0 ، m یک عدد صحیح و n یک عدد طبیعی بزرگ تر از 1 باشد، داریم:

اگر a و b اعداد حقیقی p و q اعداد گویا باشند، داریم:


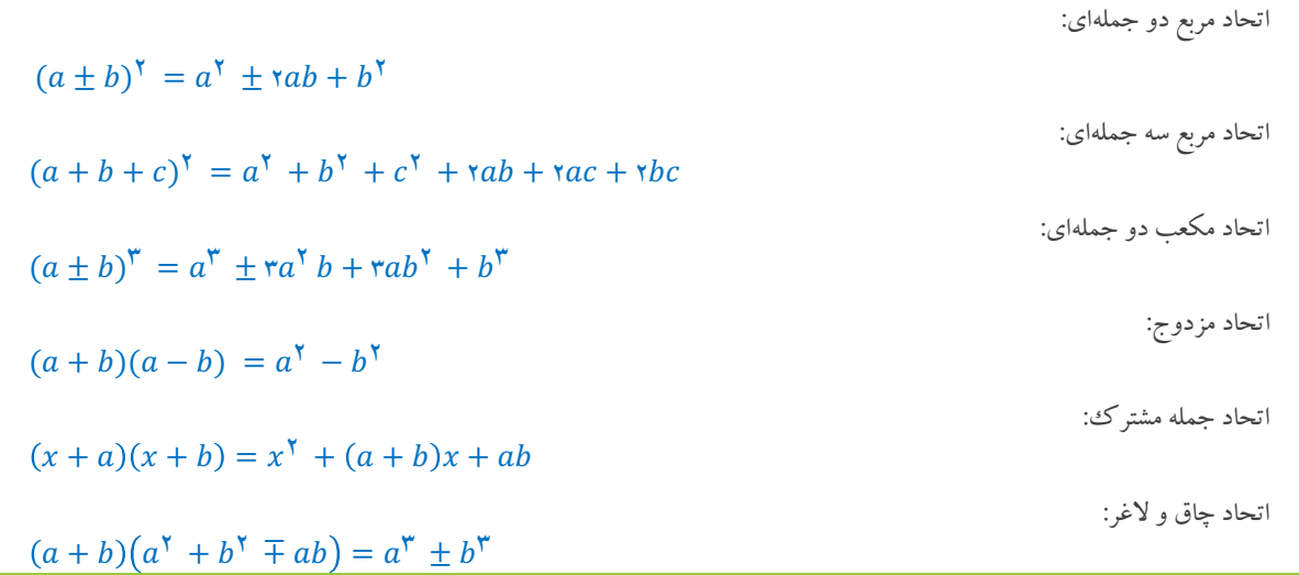
یادآوری: اتحادهای جبری


عبارتهای گویا
عبارت گویا: کسری است که صورت و مخرج آن چندجملهای هستند. صفر شدن مخرج در عبارتهای کسری، باعث تعریف نشدن کسر و بی معنا شدن آن میشود.
دامنه عبارت گویا: برابر است با همه اعداد حقیقی به جز اعدادی که مخرج را صفر میکنند.

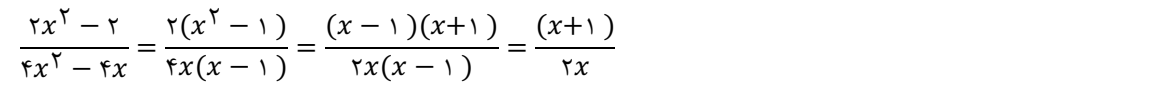
ساده کرده عبارت گویا: برای ساده کردن عبارت گویا، ابتدا به کمک فاکتورگیری و اتحادها، صورت و مخرج را تجزیه کرده و سپس عاملهای ضربی مشترک را در صورت و مخرج با هم ساده میکنیم. مثال7:

جمع و تفریق کسرها: برای جمع و تفریق کسرها، ابتدا هر کسر را جداگانه تجزیه کرده و در صورت ساده شدن با مخرج، آنها را ساده میکنیم، سپس مخرج مشترک میگیریم و حاصل را تا حد امکان ساده میکنیم.
گویا کردن مخرج
برای گویا کردن یک عبارت کسری با مخرج رادیکالی 3 حالت داریم:



پاسخ مثال ها و تست ها رو میتونید در pdf بارگذاری شده در انتهای مطلب مشاهده کنید.
دوستان عزیزم؛ برای ارتباط با رتبه برترها صفحه اینستاگرام زیر رو دنبال کنید.
