اشتباه متداول دانش آموزان درآزمون امروز را ببینید؛
گروه تجربی :
سوال 1 :
سؤال 1 مربوط به مبحث لغت است که با این ساختار برای اولین بار در کنکور 99 مطرح شده است.
برای پاسخگویی به سؤالات لغت، به این دو نکته دقت کنید:
اگر واژهای مفرد یا جمع باشد، باید در معنای آن نیز در نظر گرفته شود.
اگر نوع دستوری واژه، صفت یا اسم باشد باید معنای آن نیز اسم یا صفت باشد.
سوال 180 :سوال 198 :
سوال 212 :
گروه ریاضی :
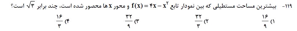
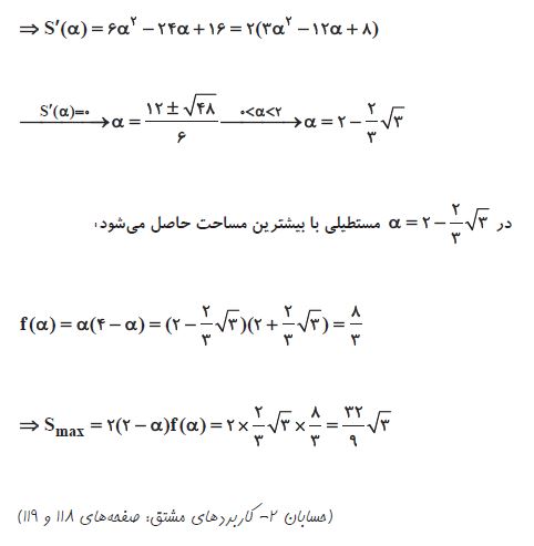
سوال 119سوال 144 :
سوال 197 :
سوال 219 :
گروه انسانی :
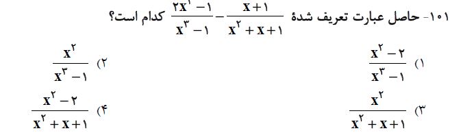
سوال 1 :سوال 101 :
سوال 122 :
سوال 125 :
سوال 197 :
