سلام
در این مطلب به بررسی تست های مهم کنکور سراسری در خصوص مطلب ویژگی های فیزیکی مواد پرداخته ایم.
اگر سوالی داشتید پایین همین مطلب کامنت بگذارید.
سوال اول:
در شکل زیر، دو سطح جیوه در یک تراز قرار دارد و سیستم به حالت تعادل است.تقریبا چند سانتی متر به ارتفاع ستون آب اضافه کنیم، تا سطح آزاد آب و روغن در یک تراز قرار گیرند؟
1) 4.5
2) 4.9
3) 5.4
4) 9.4


پاسخ: گزینه ی 3
برای درک بهتر سوال شکل لوله را درهر یک از حالت های قبل و بعد از اضافه کردن آب رسم می کنیم:

سوال دوم:
در شکل زیر، یک ظرف خالی و یک قطعه چوب روی آب شناور اند و یک وزنه ی فلزی در کف ظرف آب قرار دارد. اگر چوب را از سطح آب برداشته و داخل ظرف قرار دهیم، فشار در کف ظرف آب چگونه تغییر می کند و اگر وزنه را از جایی که قرار دارد، برداریم و درون ظرف قرار دهیم و ظرف همچنان شناور بماند، فشار در کف ظرف آب چگونه تغییر می کند؟ (به ترتیب از راست به چپ)
1) کاهش می یابد-کاهش می یابد.
2) افزایش می یابد-افزایش می یابد.
3) ثابت می ماند-افزایش می یابد.
4) ثابت می ماند-کاهش می یابد.

پاسخ: گزینه ی 3
در حالت اول چوب شناور است، پس نیروی شناوری برابر با وزن آن است. اگر چوب را از سطح آب برداشته و داخل ظرف قرار دهیم، در صورتی که همچنان نیروی شناوری برابر با نیروی وزن شود، پس واکنش نیروی شناوری که به آب وارد می شود همچنان ثابت است و فشار وارد بر کف ظرف تغییر نمی کند.
در حالت دوم وزنه کف ظرف قرار دارد، یعنی نیروی شناوری از وزن جسم کمتر است. با قرار دادن وزنه در ظرف و شناور شدن آن نیروی شناوری افزایش یافته و هم اندازه ی نیروی وزن می شود. پس واکنش نیروی شناوری که به آب وارد می شود زیاد شده و فشار وارد بر کف ظرف افزایش می یابد.
سوال سوم:

پاسخ: گزینه ی 3

سوال چهارم:
اگر یک لوله ی مویین را که دو طرف آن باز است به طور قائم در جیوه فرو ببریم، به صورت کدام یک از شکل های زیر در می آید؟
1) A
2) B
3) C
4) D

پاسخ: گزینه ی 1
سطح جیوه درون لوله پایین تر از سطح جیوه درون ظرف قرار می گیرد.
سطح جیوه بر آمدگی دارد
سوال پنجم:
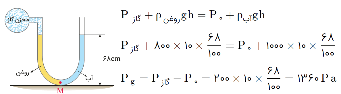
مطابق شکل زیر، درون لوله ی یو شکلی که به یک مخزن گاز متصل است، حجم مساوی از آب و روغن قرار دارد. فشار پیمانه ای مخزن گاز چند میلی متر جیوه است؟

1) 1
2) 5
3) 10
4) صفر

پاسخ: گزینه ی 3
گام اول: در مرز مشترک آب و روغن با هم برابر است. با توجه به برابری فشار در دو طرف لوله، رابطه ی تساوی فشار را می نویسیم:

گام دوم: فشار پیمانه ای بدست آمده را به پاسکال تبدیل می کنیم:

دوستان عزیزم ما همچنین تصمیم گرفتیم برای اینکه بتونیم ارتباطمون رو با هم بیشتر کنیم و قدم به قدم کنارتون باشیم، صفحه ی اینستاگرام متا رو بسازیم ؛
پس می تونید با دنبال کردن این صفحه با ما در ارتباط باشید.
موفق باشید.
محسن پور- دانشجوی مهندسی شیمی امیرکبیر
