سلام
در این مطلب برای جمع بندی نوسان و موج سعی کرده ایم چند تست مهم از کنکور سراسری را برایتان بیاوریم که تا حد خوبی مطالب فصل را پوشش دهد.
لطفا اگر سوالی داشتید زیر همین مطلب کامنت بگذارید.
سوال اول:
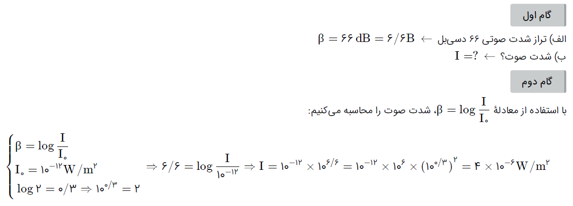
تراز شدت صوتی66 دسی بل است. شدت این صوت چند وات بر متر مربع است؟


پاسخ: گزینه ی 1

سوال دوم:

پاسخ: گزینه ی 1
هنگامی که نوسان گر تغییر جهت می دهد، شتاب بیشینه است:

هنگامیکه نیرو صفر است، نوسانگر از مرکز نوسان می گذرد و سرعت آن بیشینه است:

سوال سوم:
مطابق شکل زیر، پرتو نوری از محیط شفاف (1 ) وارد محیط های شفاف دیگر می شود. اگر سرعت نور در محیط (2)، 25 درصد کمتر از سرعت نوردر محیط 1 باشد و سرعت نور در محیط (4)، 40 درصد بیشتر از سرعت نور در محیط 3 باشد، ضریب شکست محیط (2) چند برابر ضریب شکست محیط (3) است؟


پاسخ: گزینه ی 4

سوال چهارم:
تاری به طول یک متر و به جرم 8 گرم با نیروی کشش 320 نیوتون بین دو نقطه بسته شده است. موج عرضی در تار ایجاد می کنیم. این موج طول تار را در چند ثانیه طی می کند؟
1) 0.020
2) 0.05
3) 0.002
4) 0.005
پاسخ: گزینه ی 4

سوال پنجم:
شکل زیر، نمودار مکان-زمان دو نوسانگر A و B را نشان می دهد. اگر جرم نوسانگر B، پنج برابر جرم نوسانگر A باشد، انرژی مکانیکی نوسانگر A چند برابر انرژی مکانیکی نوسانگر B است؟


پاسخ: گزینه ی 1

سوال ششم:

پاسخ: گزینه ی 4

دوستان عزیزم ما همچنین تصمیم گرفتیم برای اینکه بتونیم ارتباطمون رو با هم بیشتر کنیم و قدم به قدم کنارتون باشیم، صفحه ی اینستاگرام متا رو بسازیم ؛
پس می تونید با دنبال کردن این صفحه با ما در ارتباط باشید.
موفق باشید
محسن پور-دانشجوی مهندسی شیمی امیرکبیر
