سلام
دراین مطلب تلاش کرده ایم تست های مهم کنکورهای سراسری سالهای مختلف در خصوص مبحث الکترومغناطیس را گرد هم بیاوریم.
سعی کنید ابتدا خودتان تست ها را حل و بعد به پاسخ مراجعه کنید.
حتما اگر سوالی داشتید زیر این مطلب کامنت بگذارید.
سوال اول:
کدام مورد درباره ی القاگر درست نیست؟
1)هنگام عبور جریان پایا از القاگر آرمانی انرژی به آن وارد یا از آن خارج نمی شود.
2)وقتی جریان عبوری از القاگر آرمانی در حال کاهش باشد، انرژی وارد القاگر می شود.
3)ضریب القاوری (خودالقایی) یک القاگر به تعداد دور، طول، سطح مقطع القاگر و جنس هسته ی داخل آن بستگی دارد.
4)بخشی از انرژی مولد به القاگر می دهد در مقاومت سیم های القاگر به صورت گرما تلف می شود و بقیه در میدان مغناطیسی القاگر ذخیر می شود.
پاسخ: گزینه ی 2
وقتی جریان عبوری از القاگر آرمانی در حال کاهش است، طبق قانون لنز القاگر با این کاهش جریان مخالفت می کند و انرژی از آن خارج می شود.
سوال دوم:

پاسخ: گزینه ی 4

سوال سوم:
نمودار شار مغناطیسی که از یک حلقه می گذرد، درشکل زیر نشان داده شده است. نمودار نیروی محرکه ی القایی در این مدت کدام است؟

گزینه ها:




پاسخ: گزینه ی 2
از فرمول قانون فارادی استفاده می کنیم:

سوال چهارم:
مطابق شکل زیر، میله ی CD به جرم 160 گرم و طول 80 سانتی متر به دو فنر مشابه آویخته شده و در یک میدان مغناطیسی یکنواخت که اندازه ی آن 0.4 تسلا است، به صورت افقی قرار دارد. از میله جریان چند آمپر و در چه جهتی عبور کند تا از طرف میله بر فنر ها نیرویی وارد نشود؟
1) 5 و از C به طرف D
2) 5 و از D به طرف C
3) 2 و از C به طرف D
4) 2 و از D به طرف C

پاسخ: گزینه ی 1
هنگامی از طرف میله به فنرها نیرو وارد نمی شود که نیروی مغناطیسی وارد بر میله وزن آن را خنثی کند.
با روش دست راست جهت جریان درمیله را تعیین می کنیم.
پس جهت جریان از C به D است. حال اندازه ی جریان را محاسبه می کنیم:

سوال پنجم:
مطابق شکل زیر، دو سیم موازی و بسیار بلند و نازک حامل جریان در صفحه قرار دارند. در مقایسه ی بزرگی میدان مغناطیسی نقاط نشان داده شده، کدام رابطه درست است؟

پاسخ: گزینه ی 4
روش ساده و کوتاه: چون جریان سیم ها خلاف جهت هم هستند، بنابراین در نقاط بین دو سیم میدان ها باهم جمع می شوند. همچنین چون نقطه ی c به سیم حامل جریان قوی تر نزدیک تر است، میدان در این نقطه قوی تر از میدان در نقطه ی B است. تنها گزینه ای که می تواند درست باشد گزینه ی 4 است.
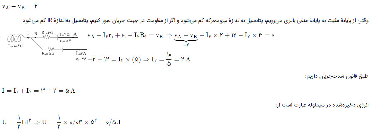
سوال ششم:

پاسخ: گزینه ی 2

سوال هفتم

پاسخ: گزینه ی 2

دوستان عزیزم ما همچنین تصمیم گرفتیم برای اینکه بتونیم ارتباطمون رو با هم بیشتر کنیم و قدم به قدم کنارتون باشیم، صفحه ی اینستاگرام متا رو بسازیم ؛
پس می تونید با دنبال کردن این صفحه با ما در ارتباط باشید.
موفق باشید
محسن پور-دانشجوی مهندسی شیمی امیرکبیر
