سلام
دراین مطلب تلاش کرده ایم تست های مهم کنکورهای سراسری سالهای مختلف در خصوص مبحث پرتوزایی و نیمه عمر را گرد هم بیاوریم.
سعی کنید ابتدا خودتان تست ها را حل و بعد به پاسخ مراجعه کنید.
حتما اگر سوالی داشتید زیر این مطلب کامنت بگذارید.
سوال اول:

پاسخ: گزینه ی 3
در واکنش های هسته ای دو اصل برقرار است:
1)مجموع عدد جرمی ذرات و هسته های موجود در دو طرف واکنش برابر است.
2)مجموع عدد اتمی ذرات و هسته های موجود در دو طرف واکنش برابر است.

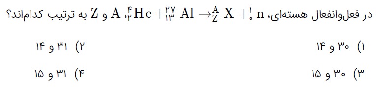
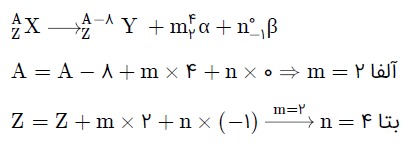
سوال دوم:

پاسخ: گزینه ی 4
گام اول:

گام دوم:
معادله ی واپاشی عنصر فرضی را نوشته و تعداد ذره های گسیلی را مطابق شرایط خواسته شده به دست می آوریم:

سوال سوم:

پاسخ: گزینه ی 3
واپاشی به صورت زیر انجام می گیرد:

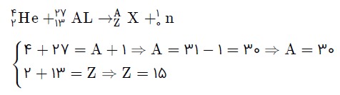
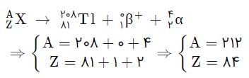
سوال چهارم:

پاسخ: گزینه ی 2
روش تستی: اگر در یک واکنش هسته ای عدد اتمی هسته ی مادر و هسته ی دختر مساوی باشند، تعداد ذرات بتا دو برابر ذرات آلفا خواهد بود. بنابراین تنها گزینه ی 2 صحیح است.
روش محاسباتی:

سوال پنجم:

پاسخ: گزینه ی دو
گام اول: در هسته های اولیه ماده ی پرتوزا پس از نه سال 12.5 درصد باقی می ماند.

نیمه عمر چند سال؟
گام دوم:

سوال ششم:

پاسخ: گزینه ی 3
از روی نمودار می توان نتیجه گرفت که پس از 16 روز یک 16 ام تعداد هسته های اولیه ی ماده ی پرتوزا باقی مانده است. بنابراین می توان نیمه عمر این ماده را حساب کرد:

دوستان عزیزم ما همچنین تصمیم گرفتیم برای اینکه بتونیم ارتباطمون رو با هم بیشتر کنیم و قدم به قدم کنارتون باشیم، صفحه ی اینستاگرام متا رو بسازیم ؛
پس می تونید با دنبال کردن این صفحه با ما در ارتباط باشید.
موفق باشید
محسن پور-دانشجوی مهندسی شیمی امیرکبیر
