سلام
در این مطلب برای مرور مغناطیس و الکترومغناطیس از بهترین پرسش و پاسخ های شما از قسمت کامنت های سایت کانون استفاده کرده ایم. این مطلب مطابق آزمون 10 بهمن می باشد.
حتما اگرسوال دیگری درباره ی این مبحث دارید در قسمت کامنت های این مطلب عنوان کنید.

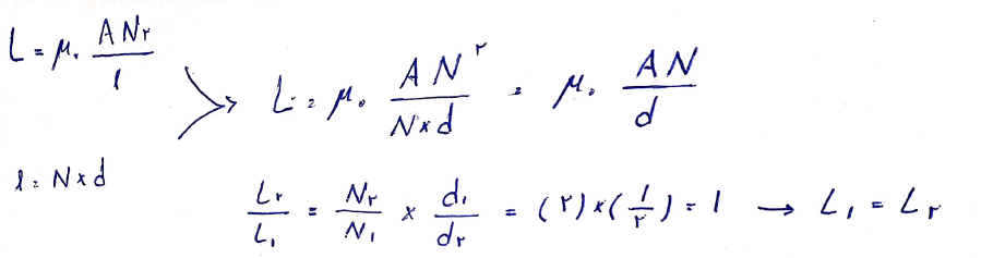
کامنت پارسا بهمنش، ریاضی نظام جدید - میانه - میانگین تراز 7111: اگر قطر مقطع و تعداد دورهای سیملوله آ دو برابر بی باشد، ضریب القاوری آ چند برابر بی هست؟ _تاریخ ثبت: 13991009 (ثبت شده در صفحه ی مقطع دوازدهم ریاضی)
پاسخ کامنت علی آریان منش، ریاضی نظام جدید - اهواز - میانگین تراز 7311: چهار برابر فقط نکتش این بود ک برا مقایسه طولها باید از رابطه ال مساوی تعداد دور در قطر مقطع استفاده کنی _تاریخ ثبت: 13991009 (ثبت شده در صفحه ی مقطع دوازدهم ریاضی)

کامنت کاربر: پیچه ای به مقاومت 2 اهم از 50 حلقه هر یک به مساحت 100 سانتی متر مربع تشکیل شده است . سطح این قاب عمود بر خطوط میدان مغناطیسی یکنواختی به شدت 1 گاوس قرار دارد . اگر قاب را به اندازه 180 درجه بچرخانیم تا دوباره عمود بر خطوط میدان شود ، بار الکتریکی متوسط عبوری از یک مقطع از پیچه چند میکروکولن است ؟ ( سوالم اینه که چرا اینجا وقتی خود صورت سوال میگه سطح قاب دوباره عمود بر خطوط میدان شده ، ولی در پاسخنامه (دلتا تتا رو 180 ) در نظر گرفته ؟ من فکر میکردم بار الکتریکی عبوری صفر باشه.... ) _تاریخ ثبت:13990511 (ثبت شده در صفحه ی مقطع دوازدهم ریاضی)
پاسخ کامنت آرش فتانی فرشباف، ریاضى نظام جدید - تبریز - میانگین تراز 7133: ما گفتیم نیروی محرکه در سه حالت القا میشه یا میدان تغییر کنه یا مساحت مقطع یا کسینوس زاویه بین نیم خط عمود و میدان وقتی که 180 درجه دوران پیدا میکنه زاویه بین نیم خط عمود و میدان از صفر به 180 درجه میرسه که کسینوسش از 1 به منفی 1 میرسه(در حالت اول بردار عمود بر سطح و میدان هم جهت هستند ولی در حالت دوم هم راستا ولی در خلاف جهت هم هستند)(چون مشخص نشده فکر کنم میتونیم بگیم که در حالت اول زاویه بینشون 180 بود و در حالت دوم صفر درجه ولی تاثیری در جواب آخر نداره) _تاریخ ثبت: 13990511 (ثبت شده در صفحه ی مقطع دوازدهم)

کامنت سارا بهاری، تجربى نظام جدید - قروه - میانگین تراز 7173: سلام تو نمودار سینوسی جریان القایی منظور از تغییر جهت جریان چیه؟و کجا رخ میده؟ _تاریخ ثبت:13990426 (ثبت شده در صفحه ی مقطع دوازدهم تجربی)
پاسخ کامنت آرمین کاملی - ساری: سلام.در زمان هایی که نمودار با محور ایکسها برخورد میکنه جهت جریان عوض میشه،یعنی تی ،دو تی،سه تی و ... ی مثال میزنم :از صفر تا تی دوم جریان زیاد میشه و از تی دوم تا تی جریان کم میشه تا در تی به صفر برسه اما جهتش همونه و تغییر نمیکنه وقتی از تی میگذره دوباره شروع به افزایش میکنه ولی جهتش عوض میشه و همینطور سینوسی این تکرار میشه. _تاریخ ثبت:13990426 (ثبت شده در صفحه ی دوازدهم تجربی)









موفق باشید
حسین نودهانی - دانشجوی مهندسی صنایع دانشگاه تهران
