سلام
در این مطلب برای مرور کلی حرکت برخط راست و آمادگی برای آزمون 12 شهریور از بهترین پرسش و پاسخ های شما از قسمت کامنت های سایت کانون استفاده کرده ایم.
به سوالات مهمی که در این مطلب آورده شده تسلط پیدا کنید.
حتما اگر سوال دیگری درباره ی این مبحث دارید در قسمت کامنت ها عنوان کنید.
حسین نودهانی - دانشجوی مهندسی صنایع دانشگاه تهران
بخش اول: کامنت های خوب شما
کامنت کاربر: چجوری یه متحرکی با شتاب ثابت مثبت متوقف میشه ؟ _تاریخ ثبت: 13990927 (ثبت شده در صفحه ی مقطع دوازدهم ریاضی)
پاسخ کامنت علی اصغر صالحی، ریاضی نظام جدید - اهواز: من دارم با ماشین با سرعت 10 متر بر ثانیه میرم(به سمت مثبت محور ایکس) . بعد ی مانع میبینم جلوم و میزنم روی ترمز و شتاب منفی پیدا میکنم. مثلا شتابم میشه منفی 2 / حالا این شتاب منفیِ دویی که دارم هر ثانیه دوتا از سرعتم کم میکنه تا اینکه سرعتم میشه صفر و من متوقف میشم و اگه شتاب منفی ادامه پیدا کنه سرعتم منفی میشه. یعنی رسیدم ب دوربرگردون و دارم برمیگردم(سمت منفی محور ایکس) . _تاریخ ثبت:13990927 (ثبت شده در صفحه ی مقطع دوازدهم ریاضی)

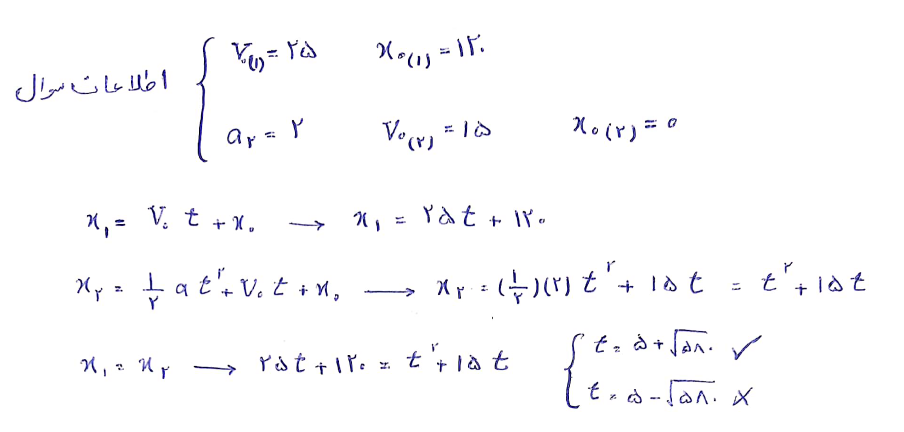
کامنت کاربر: دوچرخه سواری با سرعت ثابت 25 متر بر ثانیع در حرکت است . دوچرخه سوار دیگری با سرعت 15 متربر ثانیع ب دنبال آن در حرکت است . زمانی ک فاصله آن دو 120 متر است دومی حرکتش را با شتاب 2 متر بر مجذور ثانیه تند میکند . این دو بعد از چه مدتی به هم میرسند ؟ _تاریخ ثبت:13990906 (ثبت شده در صفحه ی مقطع دوازدهم تجربی)
پاسخ کامنت ملیکا کلانتری، تجربى نظام جدید - تهران - میانگین تراز 5937: خب باید معادله مکان زمان بنویسی : برای اولی بنویس (تی) ضربدر 25 به علاوهی 120 و حالا برای دومی بنویس که مکان برابر است با 2 ضربدر در (تی) به توان 2 به علاوهی 15 ضربدر (تی) بعد این دو تا معادله را برابر هم قرار میدهیم و سپس (تی) به دست میآید . تاریخ ثبت:13990906 (ثبت شده در صفحه ی مقطع دوازدهم تجربی)

بخش دوم: حل چند تست مهم







دوستان عزیزم ما تصمیم گرفتیم برای اینکه بتونیم ارتباطمون رو با هم بیشتر کنیم و قدم به قدم کنارتون باشیم، صفحه ی اینستاگرام متا رو بسازیم و همراهتون باشیم.
شاد و پیروز باشید.
