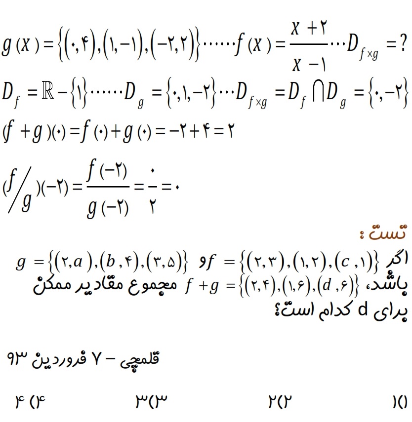
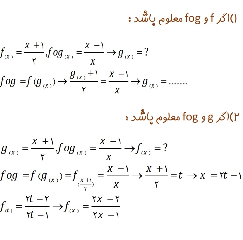
جبر و ترکیب توابع: جمع بندی سریع به همراه حل تست

فایل ضمیمه شامل درسنامه مروری به همراه حل تست، جهت جمع بندی مبحث جبر و ترکیب توابع است.

جبر و ترکیب توابع: جمع بندی سریع به همراه حل تست

فایل ضمیمه شامل درسنامه مروری به همراه حل تست، جهت جمع بندی مبحث جبر و ترکیب توابع است. 

  1. * گروه پشتیبانان ویژه کانون *



بابک یادگاری
ارسال شده توسط : بابک یادگاری
Menu