دسترسی به نمونه سوالات امتحانی حسابان دوازدهم ریاضی نوبت اول و نیم سال اول، بهترین راهکار برای آمادگی در امتحانات دیماه است. این مجموعه تخصصی شامل آرشیو کامل نمونه سوالات تیزهوشان، مدارس نمونه دولتی، مدارس غیرانتفاعی برتر و مدارس دولتی سراسر کشور میباشد.
لینک مشاهده نمونه سوال حسابان دوازدهم ریاضی
لینک مشاهده نمونه سوال های تمام درس های دوازدهم ریاضی
تمامی آزمونها در دو نسخه با پاسخ تشریحی (برای یادگیری نکات) و بدون پاسخ (برای شبیهسازی آزمون) ارائه شدهاند تا برای تمامی سطوح آموزشی قابل استفاده باشند. با مطالعه این سوالات پرتکرار نیمسال اول و تمرکز بر مباحث کلیدی، موفقیت خود را در امتحانات کانون و مدرسه تضمین کنید.


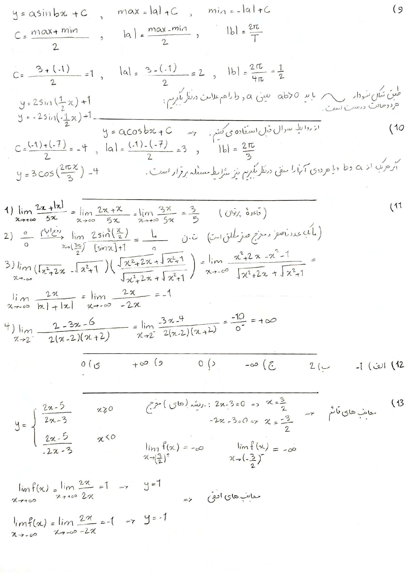
و اما پاسخ نامه تشریحی نمونه سوال


ما یک نمونه سوال در اینجا قرار دادیم تا با استاندارد آزمونها آشنا شوید. برای دسترسی به تمام نمونه سوالات نوبت اول روی عکس زیر کلیک کنید
لینک مشاهده نمونه سوال حسابان دوازدهم ریاضی
لینک مشاهده نمونه سوال های تمام درس های دوازدهم ریاضی

