سلام به همه هشتمی های عزیز 🖐🖐
در این مطلب به فصل هفتم کتاب ریاضی هشتم میپردازیم.

🔴ویژگیهای مطلب🔴
درسنامه کامل و نکات
مثال های فراوان
پاسخ کلیدی و تشریحی در فایل ضمیمه
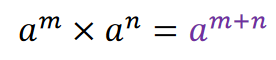
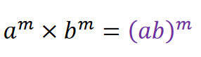
ضرب اعداد توان دار :
الف) اگر پایه ها برابر باشند : یکی از پایه ها را نوشته و توان ها را با هم جمع می کنیم.

ب) اگر توان ها برابر باشند : یکی از توان ها را نوشته و پایه ها را در هم ضرب می کنیم

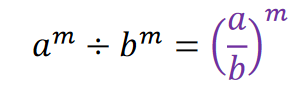
تقسیم اعداد توان دار :
الف) اگر پایه ها برابر باشند : یکی از پایه ها را نوشته و توان ها را از هم کم می کنیم.

ب)اگر توان ها برابر باشند : یکی از توان ها را نوشته و پایه ها را بر هم تقسیم می کنیم.

نکته : اگر اعداد توان دار مثل هم باشند و بین آن ها علامت جمع باشد آن عبارت را تبدیل به ضرب می کنیم. 
نکته : عدد منفی داخل پرانتز باشد علامت منفی به تعداد توان ضرب می شود، اگر عدد منفی داخل پرانتز نباشد منفی به تعداد توان ضرب نمی شود.
نکته : عدد منفی به توان زوج برسد حاصل عددی مثبت و اگر به توان فرد برسد حاصل عددی منفی می شود.
نکته : اگر عدد توان دار داخل پرانتز باشد و توان دیگر داشته باشد پایه رانوشته و توان ها را در هم ضرب می شود.
نکته : اگر عدد توان دار بدون پرانتز نباشدو توان دیگر داشته باشد پایه را نوشته و عبارت باال را جواب می دهیم.
نکته : برای مقایسه اعداد توان باید پایه یا توان اعداد را برابر کنیم.
مثال: اعداد زیر را با هم مقایسه کنید؟ 
جذر یا ریشه دوم اعداد :
نکته : هر عدد دارای دو ریشه دوم است که یکی قرینه ی دیگری است.
مانند : ریشه های دوم عدد 36 برابر است با :6 و6-
نکته : در جذر گیری فقط عدد مثبت آن در نظر گرفته می شود و جذر را با رادیکال(√ )نشان می دهند.
نکته : اعداد منفی جذر ندارند. چون مجذور هیچ عددی ؛ منفی نمی شود.
نکته : جذر اعداد صفر و یک برابر با خود آن اعداد است.
جذر تقریبی اعداد :
برای به دست آوردن جذر تقریبی اعداد مراحل زیر را به ترتیب انجام می دهیم :
1) ابتدا مشخص می کنیم عدد داده شده بین کدام دو عدد صحیح متوالی قرار دارد.
2) سپس عدد وسط دو عدد را مشخص کرده ومجذور آن را می نویسیم.
3) سپس اگر مجذور عدد وسطی از عدد داده شده بیشتر بود4عدد کمتر از عدد وسطی و اگر از عدد داده شده کمتر بود 4 عدد بزرگتر از عدد وسطی را می نویسیم.
4) داخل یک جدول مجذورهای4عدد را نوشته سپس مجذور عددی که به عدد داده شده نزدیکتر بود همان جذر تقریبی عدد است.
مثال: جذر تقریبی عدد 47 را بیابید؟
نمایش اعداد رادیکالی روی محور اعداد :
برای نمایش این اعداد چهار مورد زیر را باید مشخص کنیم :
- مبدا حرکت
- تعداد حرکت
- جهت حرکت
- تعداد مثلث
نکته : در جمع و تفریق رادیکال ها نمی توان رادیکال را جدا از هم نوشت و جواب داد : 
و حالا وقت تسته!!!


برای ارتباط با پشتیبان ویژه و اطلاع از شرایط مشاوره با رتبه هاي برتركانوني
به لينك زير مراجعه كنيد.
