سلام به همه هفتمی های عزیز 🖐🖐
در این مطلب به فصل هشتم کتاب ریاضی هفتم میپردازیم.

🔴ویژگیهای مطلب🔴
درسنامه کامل و نکات
مثال های فراوان
پاسخ کلیدی و تشریحی در فایل ضمیمه
بردار : پاره خط جهت داری است که دارای ابتدا ، انتها ، و راستا باشد.
دو بردار مساوی : دو بردار در صورتی مساویند که : هم اندازه ، هم جهت و هم راستا باشند.
دو بردار قرینه : دو بردار در صورتی قرینه اند که : هم اندازه ، هم راستا ولی خالف جهت یکدیگر باشند.
دو بردار قرینه
دو بردار مساوی
مثال : با توجه به نیروهای وارده شده به هر شکل ، جسم به کدام سمت حرکت می کند؟چرا؟

دستگاه مختصات : از عمود شدن دو محور اعداد ، دستگاه مختصات تشکیل می شود.

محور افقی ،محورطول ها(𝒙)نام دارد.
محور عمودی ،محور عرض ها(𝒚)نام دارد.
نقطه برخورد دو محور ، مبدا مختصات(𝒐)نام دارد.
نکته : برای دست آوردن مختصات نقاط از مبدا مختصات اول طول (افقی) و بعد عرض (عمودی) را می شماریم.
نکته : برای به دست آوردن مختصات یک بردار از ابتدا بردار اول طول بعد عرض را می شماریم.
مثال: با توجه به دستگاه مختصات زیر موارد زیر را به دست آورید؟

نکته : قرینه هربردار نسبت به محور طول ها ، عرض قرینه می شود.
نکته : قرینه هر بردار نسبت به محور عرض ها ، طول قرینه می شود.
نکته : قرینه هر بردار نسبت به مبدا مختصات ، طول و عرض قرینه می شوند.
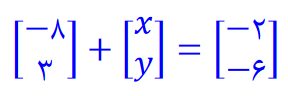
جمع و تفریق مختصات : طول با طول و عرض با عرض جمع و تفریق می شوند.
مثال : مقدار 𝒙 و 𝒚 را در مختصات های زیر به دست آورید؟
جواب تشریحی:

و حالا وقته تسته!!!



برای ارتباط با پشتیبان ویژه و اطلاع از شرایط مشاوره با رتبه هاي برتركانوني
به لينك زير مراجعه كنيد.
