سلام به همه هشتمی های عزیز 🖐🖐
در این مطلب به فصل چهارم کتاب ریاضی هشتم میپردازیم.

🔴ویژگیهای مطلب🔴
درسنامه کامل و نکات
مثال های فراوان
پاسخ کلیدی و تشریحی در فایل ضمیمه
یک جمله ای جبری : عبارت جبری که از دو قسمت عدد (ضریب) و متغیر تشکیل شده باشد. مانند : 2x
چند جمله ای جبری : اگر بین عبارت های جبری علامت جمع وتفریق باشد تشکیل چند جمله ای می دهد. مانند :x+2y
عبارت جبری متشابه : عبارتی که متغیر های آن (حروف انگلیسی) و توان متغیرها کامل مثل هم باشند. مانند: 2x،100x
ساده کردن عبارت های جبری : جملات متشابه را جدا کرده سپس مانند جمع و تفریق اعداد صحیح آن ها را جواب داده با این تفاوت که حروف کنار اعداد نوشته می شود.
مثال : عبارت های جبری زیر را ساده کنید.
ضرب دو جمله ای : در ضرب دو جمله ای ضریب ها در هم و متغیرها در هم ضرب می شوند.
ضرب یک جمله ای در چند جمله ای : یک جمله ای در تمام جمالت چند جمله ای ضرب می شود.
ضرب چند جمله ای در چند جمله ای : جملات پرانتز اول در تمام جملات پرانتز دوم ضرب می شود.
مثال:
نکته : با توجه به مساوی بودن مساحت در دو شکل می توان برای یک شکل تساوی جبری نوشت.
نکته : یک عدد دو رقمی را به صورت و یک عدد سه رقمی را به صورت نشان می دهیم.
نکته : مقلوب عدد را به صورت نشان می دهیم. مثال مقلوب عدد37 برابر با73می شود.
نکته : مجموع هر عدد دو رقمی با مقلوب آن همواره مضرب11می باشد.
نکته : اختلاف هر عدد دورقمی با مقلوب آن همواره مضرب9می باشد.
مقدار عددی عبارت جبری : به جای متغیرها اعداد داده شده را قرار می دهیم سپس با توجه به ترتیب انجام عملیات(اولویت) عبارت را جواب می دهیم.
مثال : مقدار عددی عبارت های جبری زیر را به ازای مقادیر داده شده به دست آورید.

تجزیه عبارت جبری : (تبدیل به ضرب یا فاکتورگیری) مراحل زیر را به ترتیب انجام می دهیم :
.ابتدا (ب.م.م) ضرایب را به دست می آوریم.
..حروف مشترک با توان کمتر را کنار (ب.م.م) ضرایب می نویسیم.
...تمام جملات عبارت را بر جمله ی مشترک تقسیم کرده و داخل پرانتز می نویسیم.
معادله : معادله یک تساوی جبری است که به ازای بعضی از اعدادبه یک تساوی درست تبدیل می شود.
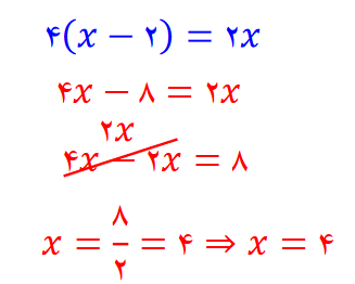
نکته : برای حل معادله مراحل زیر را به ترتیب انجام می دهیم :
1) مجهول ها را به طرف چپ و عددهای معلوم را به طرف راست انتقال می دهیم.
2) عددهای مجهول با هم و عددهای معلوم را با هم جواب می دهیم.
3) حاصل عددهای معلوم را بر حاصل عددهای مجهول تقسیم می کنیم
مثال : معادله های زیر را جواب دهید.

نکته : سه عدد متوالی را به صورت(𝑥 , 𝑥 + 1 , 𝑥 + 2)و سه عدد فرد یا زوج متوالی را به صورت(𝑥 , 𝑥 + 2 , 𝑥 + 4)نمایش می دهیم.
و حالا وقت تسته!!!


برای ارتباط با پشتیبان ویژه و اطلاع از شرایط مشاوره با رتبه هاي برتركانوني
به لينك زير مراجعه كنيد.
