سلام به همه دوستان !
در این مطلب میخواهیم با بررسی 10 تست
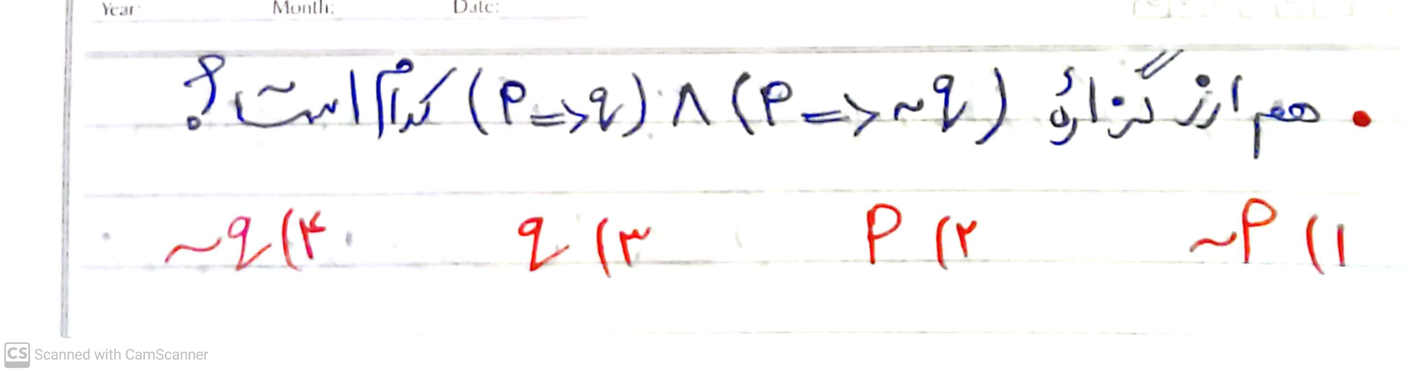
مهمترین مباحث ریاضی پایه را مرور کنیم .
امیدواریم مطالب بیان شده ، به شما در یادگیری بهتر ، کمک کند .
![]() | دانشجوی زبان و ادبیات فارسی دانشگاه شهید بهشتی رتبه 95 منطقه یک - کنکور انسانی 1399 |

⭐ویژگی های مطلب⭐
10 تست از مباحث مهم دهم و یازدهم
حل ویدئویی مسائل






















تهیه کننده :
علی جابری - دانشجوی زبان و ادبیات فارسی دانشگاه شهید بهشتی
سپاس از توجه شما 🌹


