‼️در سال 1402 تنها سوابق تحصیلی سال دوازدهم با تاثیر قطعی و به میزان 40 درصد تاثیر دارد‼️
✅این قانونی بود که رسما تصویب شد و حالا علاوه بر اینکه باید روی کنکور تمرکز کنید، باید روی امتحانات نهایی خودتان هم تمرکز داشته باشید که بهترین نمره را بگیرید.
🥇 بهترین روش برای کسب بهترین نتایج در امتحانات نهایی، این است که تمام نمونه سوالات امتحان نهایی را هم زمان که درس هایتان را پیش می برید، مطالعه و تمرین کنید.
🎁 کاری که من برای شما کردم این است که تمام سوالات امتحان نهایی سال 1398 1399 1400 و حتی سال های قبل تر را جمع آوری کردم!
🎯 این مطالب هر هفته آپدیت میشوند و میتوانید تمام سوالات امتحان نهایی هر درس را به تفکیک مبحث دانلود کنید. اگر قدم به قدم با این مطالب پیش بروید، میتوانید یک ماه قبل از امتحانات تمام سوالات را مرور کنید.
🤍 با ما همراه باشید.
![]() |
![]() | دانشجوی مهندسی مکانیک دانشگاه صنعتی شریف، رتبه 150 کنکور ریاضی |

🔶 فصل 1 حسابان - تابع 🔶
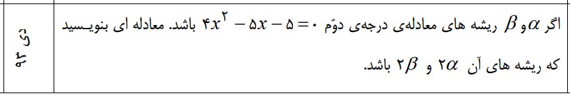
❓ سوال 1)

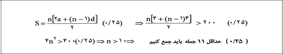
❓ سوال 2)

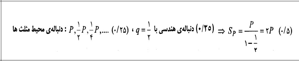
❓ سوال 3)

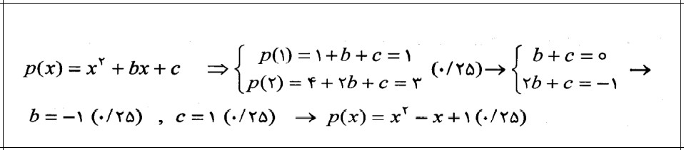
❓ سوال 4)

❓ سوال 5)

❓ سوال 6)

❓ سوال 7)

❓ سوال 8)

❓ سوال 9)

❓ سوال 10)


پاسخ سوال 1)

پاسخ سوال 2)

پاسخ سوال 3)

پاسخ سوال 4)

پاسخ سوال 5)

پاسخ سوال 6)

پاسخ سوال 7)

پاسخ سوال 8)

پاسخ سوال 9)

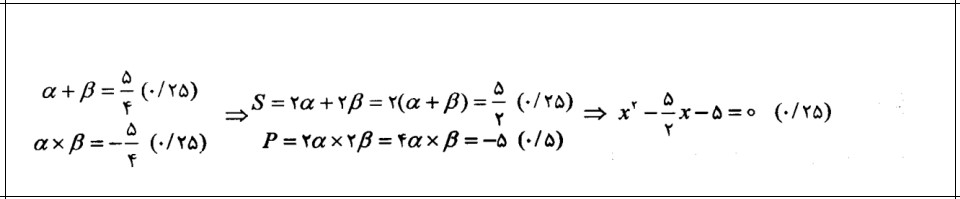
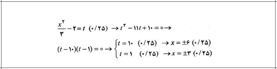
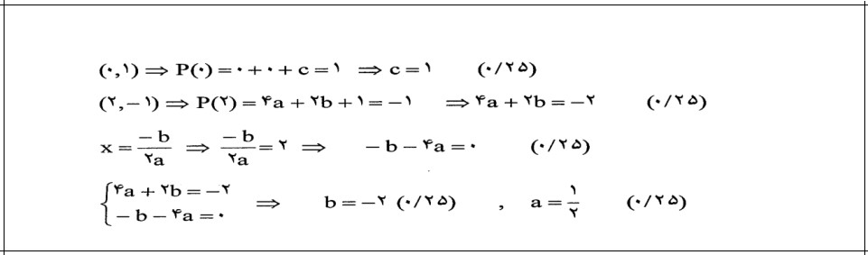
پاسخ سوال 10)

🔷 مشاوره و پشتیبانی ویژه با من 🔷
![]() | ![]() |
![]() | |
![]() |
♦️ فایل پیدیاف (PDF) ♦️
دوستان عزیز، شما میتوانید فایل پیدیاف این فصل و فصلهای قبل را که شامل سوالات امتحان نهایی و پاسخ تشریحی رسمی آنها میباشند را در انتهای همین مطلب دانلود کنید.

💯موفق باشید!💯
🟢دانشجوی مهندسی مکانیک دانشگاه صنعتی شریف، رتبه 150 کنکور ریاضی🟢






