سلام به همه کنکوریهای عزیز 🖐🖐
در این مطلب قصد داریم یک دام از کتاب ریاضی دهم و حسابان یازدهم را برای آزمون 6 آبان پیشبینی کنیم ، با بررسی این دام های احتمالی ، هم مبحث را بهتر یاد می گیریم و هم در صورت مواجه شدن با آن ها در آزمون اشتباه نمی کنیم .
| رتبه 150 منطقه 2 کنکور 99 دانشجوی مکانیک دانشگاه صنعتی شریف |
ریاضی دهم
❓ صورت سوال به شکل زیر است :

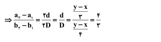
1) 2/3 2) 3/2 3) 4/3 4) 3/4
✅ پاسخ تشریحی :
⚠ نکته : فرمول درج m واسطه حسابی بین دو عدد به صورت زیر است :

اگراین فرمول را برای دو متغیر x و y در دو دنباله به صورت جداگانه بنویسیم داریم :
دنباله اول :

دنباله دوم :

درنهایت کافیست خواسته مسئله از زاویه دیگری نگاه کنیم :
برای دنباله اول فرض میکنیم قدر نسبت دنباله، d و برای دنباله دوم قدر نسبت را D فرض می کنیم.اختلاف جمله اول و سوم در صورت برابر با 2d و همین عبارت را در مخرج برابر 2D قرار میدهیم.
حال طبق مرحله قبل که از فرمول درج m واسطه حسابی، D و d را بر حسب دو متغیر x و y بدست آورده بودیم، جایگذاری را انجام میدهیم.

⛔ دام : برخی از دانش آموزان روی گزینه 2 در دام آموزشی میفتند زیرا اشتباه آنان این است که در فرمول درج m واسطه حسابی، +1 را فراموش میکنند یا به اشتباه آن را اعمال نمیکنند.
⛔ دام : برخی از دانش آموزان روی گزینه 4 در دام آموزشی میفتند زیرا اشتباه آنان، اشتباه محاسباتی بوده و حین تقسیم کردن نهایی به عدد اشتباهی میرسند.
حسابان 1
❓ صورت سوال به شکل زیر است :

✅ پاسخ تشریحی :
⚠ نکته : برای اینکه نمودار تابع درجه دوم از ناحیه سوم مختصات نگذرد، باید دو ریشه تابع را مثبت فرض کنیم. در نتیجه ضرب و جمع دو ریشه عددی مثبت است. ضمن اینکه باید دهانه نمودار به سمت بالا باشد تا نمودار از ناحیه سوم گذر نکند.
⚠ نکته : جمع دو تابع را با S=-b/a و ضرب دو تابع را با P=c/a نمایش میدهیم.

⛔ دام : توجه کنیم که ممکن است ضرب ریشه ها صفر باشد( با در نظر گرفتن دهانه روبه بالا، با داشتن یک ریشه مثبت و صفر باز هم از ناحیه سوم گذرنمیکند). بنابراین نامعادله ضرب ریشه ها را بزرگتر مساوی صفر قرار میدهیم.
( بنابر این گزینه 4 یک دام آموزشی محسوب میشود و اکثر دانش آموزان ریشه صفر را فراموش میکنند درنظر بگیرند)
صفحه اینستاگرام و کانال تلگرام ما
برای ارتباط بیشتر با رتبه برترها و رزرو پشتیبان ویژه، پیج کانون برترها را دنبال کنید و به کانال فوق العاده تلگرامی کانون برترها ملحق بشید تا از مطالب عالی این کانال جا نمونید.
اگر از این مباحث دامی به نظرتان آمد ، در کامنت ها به اشتراک بگذارید.
نویسنده : محمد مهدی کربلایی / دانشجوی مکانیک صنعتی شریف
سپاس از توجه شما 🌹



