سلام به همه دوستان
در این متلب قصد داریم یک دام از هر کتاب ریاضی تجربی را پیش بینی کنیم. با بررسی این دام های احتمالی، هم مبحث را بهتر یاد می گیریم و هم در صورت مواجه شدن با آنها در آزمون ها اشتباه نمی کنیم.
| بخش اول: طرح تست دام دار |
حل تست :
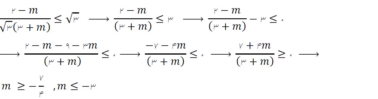
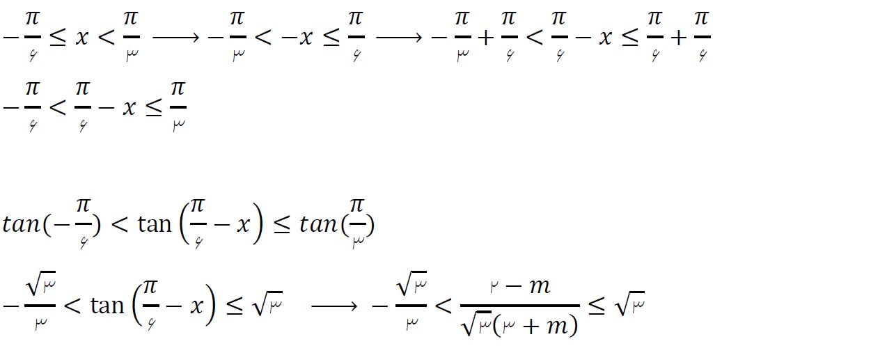
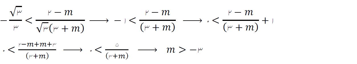
حال باید دو نامساوی را حل کنیم :
اولین نامساوی :
دومین نامساوی :
اشتراک جواب اولین نامساوی و دومین نامساوی برابر است با گزینه 4.
| بخش دوم : توضیح دام |
دقت کنید که ما از جواب دو نامساوی باید اشتراک بگیریم و اگر فقط یکی از نا مساوی ها رو حل کنیم و دیگری را فراموش کنیم یا اشتراک نگیریم ممکن است هر یک از گزینه های اشتباه یک و دو و سه را انتخاب کنیم.
راه ارتباط با رتبه برتر های کانون *-*
برای ارتباط با رتبه برتر های کانون و بهره مندی از تجربیات آنها صفحه اینستاگرام رتبه های برتر را دنبال کنید و برای اطلاع از اخبار کنکور و بهرمندی سریع از مطالب برتر ها وارد کانال تلگرام برتر های کانون بشید.
![]() | ![]() |
‼️ برای باز کردن لینک تلگرام از فیلتر شکن استفاده کنید.
اگر از این مباحث،دامی به نظرتان آمد، در کامنت ها به اشتراک بگذارید.
تهیه کننده : الهه عسگری رتبه 296 کنکور 94
سپاس از توجه شما


