سلام به همه دوستان
در این متلب قصد داریم یک دام از هر کتاب ریاضی تجربی را پیش بینی کنیم. با بررسی این دام های احتمالی، هم مبحث را بهتر یاد می گیریم و هم در صورت مواجه شدن با آنها در آزمون ها اشتباه نمی کنیم.
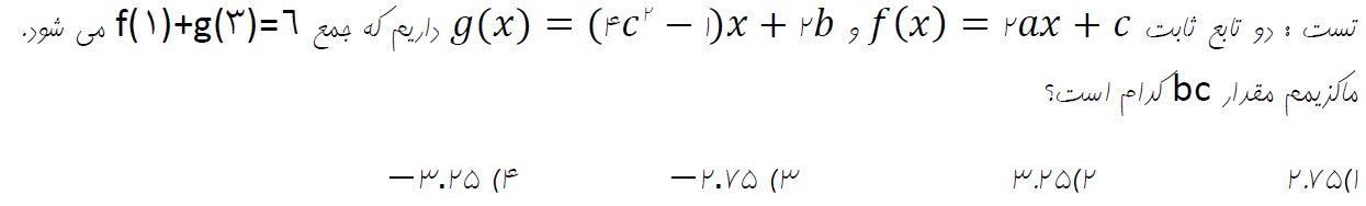
| بخش اول: طرح تست دام دار |
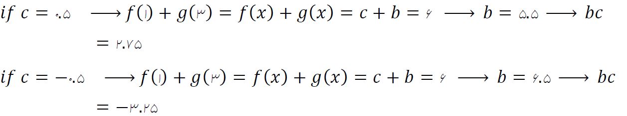
حل تست :
اول سراغ تابع f(x) می رویم :
بعد سراغ تابع g(x) می رویم :
حال داریم :
| بخش دوم : توضیح دام |
باید در حل سوال دقت شود که گفته شده ماکزیمم مقدار bc چقدر است.
عموما با توجه به بی دقتی ها و جو حاکم و استرس ازمون، دانش اموزان دقت نمی کنند که وقتی گفته می شود ماکزیمم مقدار بین دو یا چند چیز را بدست بیاورند باید علامت اعداد را نیز در نظر بگیرند و اگر این اتفاق بیفتید دانش اموزان به غلط گزینه سوم را انتخاب می کنند.
از طرفی ممکن است کسی حواسش به علامت نهایی اعداد باشد اما مثبت و منفی های موجود در راه حل را به اشتباه رد کند و در نظر نگیرد که ممکن است هر کدام از گزینه های دوم و چهارم نیز انتخاب شوند.
با این که تست نسبتا ساده است و ابتکار خاصی ندارد اما به راحتی ممکن است شما را در دام بیندازد و از سادگی بیش از حد سوال به نتیجه غلط برسید.
راه ارتباط با رتبه برتر های کانون *-*
برای ارتباط با رتبه برتر های کانون و بهره مندی از تجربیات آنها صفحه اینستاگرام رتبه های برتر را دنبال کنید و برای اطلاع از اخبار کنکور و بهرمندی سریع از مطالب برتر ها وارد کانال تلگرام برتر های کانون بشید.
![]() | ![]() |
‼️ برای باز کردن لینک تلگرام از فیلتر شکن استفاده کنید.
اگر از این مباحث،دامی به نظرتان آمد، در کامنت ها به اشتراک بگذارید.
تهیه کننده : الهه عسگری رتبه 296 کنکور 94
سپاس از توجه شما


