سلام خدمت دوستان پرتلاش و با انگیزه کنکوری
این دفترچه شامل نکتههای مهم از دروس تخصصی پایه رشته تجربی است که تمامی نکات کلیدی، کنکوری و چالش برانگیز هر درس توسط رتبههای برتر کنکور در این دفترچه جمع آوری شده است.
این دفترچه جهت آمادگی بیشتر و بهتر شما برای آزمون 20 اسفند، توسط رتبه های برتر کنکور و پشتیبانان ویژه کانون تهیه شده است.
ابتدا تمام نکات دفترچه را با دقت مطالعه کرده و سوالات خود را در قسمت کامنت از گروه پشتیبانی برترهای کانون بپرسید.
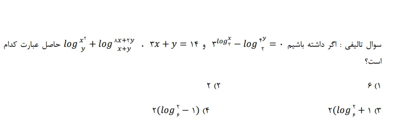
نمونهای از تستهای دفترچه نکته و تست گروه برترها:
ریاضی:


📥برای مشاهده پاسخ تستها و مطالعه کامل نکات، دفترچه را دانلود کنید.
برای رزرو مشاوره و رفع اشکال درسی و شرکت در کلاس های کنکوری با مشاوران سایت برترها بر روی لینک زیر کلیک کنید یا با شماره تماس 0216463 داخلی1174(حیدریان) تماس بگیرید.
