سلام به دوستان کنکوری 1401 😊
امیدوارم همگی حالتون خوب باشه.
این مطلب شامل نمونه سوالات کنکور درس ریاضی پایه دهم تجربی هست که توسط آقای علیرضا آذرخوش، رتبه ۱۳۶ کنکور تجربی ۱۴۰۰ و دانشجوی دندانپرشکی دانشگاه تهران تهیه شده است. در ضمن درصد ایشون در این درس 85% بوده است.
باماهمراه باشید😉
تست ها:
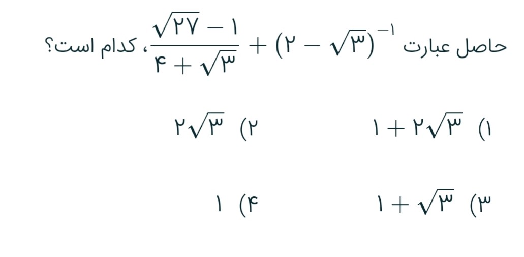
1)

2)

3)
4)

5)
6)
7)
8)
9)

10)
پاسخ نامه)
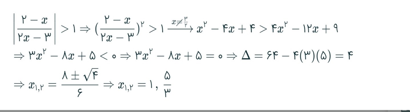
1)


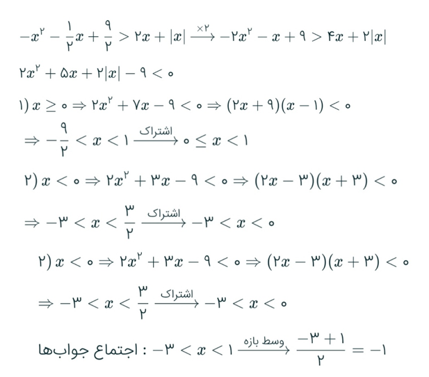
2)
3)
4)
5)

6)

7)
8)
9)
10)

صفحه اینستاگرام تجربی گروه برترها
برای رزرو مشاوره و رفع اشکال درسی و شرکت در کلاس های کنکوری با مشاوران سایت برترها بر روی لینک زیر کلیک کنید یا با شماره تماس 0216463 داخلی1174(حیدریان) تماس بگیرید.
مطالب دیگر از علیرضا آذرخوش:
