سلام دوستان !🖐
در این مطلب به بررسی مفاهیم و نکات حرکت شناسی ( صفحه 1 تا 10 ) پرداختیم . در انتها نیز دو تست برای آمادگی شما قرار دادیم .
اگر سوالی داشتید در قسمت کامنت ها از بنده بپرسید .
فایل اصلی این مطلب را در قسمت فایل های ضمیمه می توانید دانلود کنید .
🔵عضویت در کانال تلگرامی کانون برترها🔵
بردار مکان : مکان یعنی موقعیتی که جسم در آن قرار دارد .
بردار مکان برداری است که مبدأ حرکت ( یا مبدأ مختصات ) را به موقعیت جسم وصل می کند .
مثال :
در این شکل بردار مکان نقطۀ A را با dA نشان دادیم .
dA=xA i+ yA j
هرگاه بردار مکان یک جسم تغییر کند ، جابجایی اتفاق می افتد .
بردار جابجایی ، برداری است که موقعیت ابتدایی را به موقعیت انتهایی متحرک وصل می کند .
مثال : در این شکل بردار d1 مکان اولیه و بردار d2 مکان آخر متحرک را نشان می دهد . بردار d نیز بردار جابجایی است .
نکته : اگر متحرکی از مبدأ مختصات شروع به حرکت کند ، بردار جابجایی بر بردار مکان انتهایی منطبق می شود .
مسافت : طول مسیر حرکت را مسافت می گوییم و آن را با l نشان می دهیم .
مسافت به تمام مسیر بستگی دارد اما جابجایی فقط به نقطه ابتدا و انتهای مسیر .
جابجایی همیشه کوچکتر یا مساوی مسافت است .
وقتی جابجایی با مسافت برابر است که متحرک بر یک خط راست حرکت کند .
جابجایی کمیتی برداری است و مسافت کمیتی نرده ای ( اسکالر ) .
سرعت متوسط = جابجایی تقسیم بر تغییرات زمان ( d/∆t )
تندی متوسط = مسافت تقسیم بر تغییرات زمان ( l/∆t )
t∆ = بازه زمانی حرکت متحرک
تفاوت های سرعت مثل تفاوت های مسافت و جابجایی است ( جهت ، بزرگی و.. )
نکته : جابجایی و سرعت مقدار منفی هم می گیرند اما مسافت و تندی خیر .
تندی لحظه ای و سرعت لحظه ای
تندی متحرک در هر لحظه از زمان را تندی لحظه ای می گویند .
اگر هنگام گزارش تندی ، به جهت حرکت نیز اشاره شود ، سرعت لحظه ای آن را بیان کرده ایم .
سرعت در هر لحظه برابر است با شیب خط مماس بر نمودار مکان – زمان در آن لحظه .
تست 1 ( آزمون 99/7 قلم چی )
نمودار مکان – زمان متحرکی که روی مسیری مستقیم حرکت می کند ،مطابق شکل زیر است . در بازۀ زمانی مشخص شده ، چند گزاره از گزاره های زیر درباره این متحرک درست است ؟
الف ) متحرک دوبار تغییر جهت داده است .
ب ) متحرک مجموعاً به مدت 8 ثانیه در حال حرکت به سمت نزدیک شدن به مبدأ مکان است .
ج ) متحرک دوبار در فاصله 2.5 متری از مبدأ مکان قرار دارد .
د ) متحرک دوبار از مبدأ مکان می گذرد .
1 ) 1 | 2 ) 2 | 3 ) 3 | 4 ) 4 |
تست 2 ( آزمون 99/7 قلم چی )
نمودار مکان – زمان متحرکی مطابق شکل زیر است . اگر از لحظۀ شروع حرکت تا لحظه ای که متحرک تغییر جهت می دهد ، سرعت متوسط متحرک 5m/s+ باشد ، لحظۀ تغییر جهت متحرک برحسب ثانیه کدام است ؟
1 ) 4 | 2 ) 6 | 3 ) 5 | 4 ) 3 |
پاسخ تست 1
گزینه 1 ؛
هریک از گزینه ها را بررسی می کنیم :
الف ) متحرک یک بار ( در لحظۀ t = 8s ) تغییر جهت می دهد . ( غلط )
ب ) متحرک از لحظۀ t = 0 تا t = 2 و از لحظۀ t = 8 تا t = 13 درحال نزدیک شدن به مبدأ مکان است . ( غلط )
ج ) متحرک سه بار در فاصلۀ 2.5 متری از مبدأ قرار می گیرد ( تعداد نقاط برخورد خطوط y = 2.5 , y = -2.5 با نمودار باید شمرده شود ) ( غلط )
د ) متحرک دو بار و در لحظات t = 2s , t = 13s از مبدأ مکان می گذرد ( صحیح )
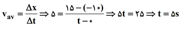
پاسخ تست 2
گزینه 3 ؛
هنگام تغییر جهت متحرک به ماکزیمم یا مینیمم موقعیت مکانی می رسد .
نکته :
تا وقتی فرمولی از نمودار داده نشده نمی توانیم تفسیر اضافی داشته باشیم . مثلا اگر نمودار را متقارن بگیریم ، زمان تغییر جهت 5.5 ثانیه بدست می آید که اشتباه است !
موفق باشید !

