سلام
در این مطلب میخواهیم با هم به جمع بندی نکات فصل دو شیمی یازدهم (مطابق با آزمون جامع) و خلاصه نکات که برای پاسخگویی به سوالات آزمون باید به آنها مسلط باشید، بپردازیم.
نوید آرمات، دانشجوی مهندسی عمران دانشگاه تهران
سیده محدثه حسینی، دانشجوی دکتری تخصصی پیوسته بیوتکنولوژی دانشگاه تهران
ایستگاه محاسبات cal=4.18 J
به مقدار گرمای لازم برای افزایش دمای یک جسم به اندازه ی (℃1) ظرفیت گرمایی آن جسم گفته می شود که با حرف (C) نمایش داده می شود. Q=C∆θ
نکته: ظرفیت گرمایی یک ماده در دما و فشار ثابت به نوع ماده و مقدار آن بستگی دارد. بنابراین هر چه جسمی بیش تر باشد، ظرفیت گرمایی آن نیز بیشتر است.
به مقدار گرمای لازم برای افزایش دمای یک گرم از یک جسم به اندازه ی (℃1) ظرفیت گرمایی ویژه آن جسم گفته می شود که با حرف (c) نمایش داده می شود. Q=mc∆θ
فرآیند هایی که با تبادل گرما همراه هستند به دو دسته تقسیم می شوند:
فرآیند های گرماده: در این فرآیند ها انرژی به صورت گرما از سامانه به محیط جاری می شود و دمای سامانه کاهش می یابد. Q<0
فرآیند های گرماگیر: در این نوع فرآیند ها انرژی به صورت گرما از محیط به سامانه منتقل می شود و دمای سامانه افزایش می یابد. Q>0
نکته: در فرآیند های گرماگیر علامت گرما در سمت واکنش دهنده ها و در فرآیند های گرماده علامت گرما در سمت فرآورده ها نوشته می شود.
نکته: ممکن است در فرآیند های گرماگیر و گرماده دما بدون تغییر باقی بماند.
مفهوم آنتالپی
انرژی کل یک سامانه هم ارز با محتوی انرژی یا آنتالپی آن می باشد. بنابراین هر سامانه در دما و فشار ثابت آنتالپی معینی دارد.
در واکنش های گرماگیر مواد با آنتالپی کم تر به مواد با آنتالپی بیش تر تبدیل می شوند.
در واکنش های گرماده مواد با آنتالپی بیش تر به مواد با آنتالپی کم تر تبدیل می شوند.
انجام واکنش همراه با داد و ستد انرژی در واکنش ها همراه است که این انرژی به شکل گرما ظاهر می شود. تغییر آنتالپی هر واکنش هم ارز با گرمایی است که در فشار ثابت با محیط مبادله می شود و با Qp نمایش داده می شود.
نکته: واکنش های رفت و برگشت قرینه یکدیگر هستند.
استوکیومتری H∆
برای محاسبه مقدار گرمای خواسته شده ابتدا مقدار ماده را به مول تبدیل می کنیم سپس با استفاده از کسر تبدیل مناسب مقدار مول را به گرما (کیلوژول) تبدیل می کنیم.
آنتالپی پیوند و میانگین آن
به مقدار انرژی لازم برای شکستن یک مول از پیوند های اشتراکی در حالت گازی و تبدیل آن ها به اتم های سازنده گازی شکل، آنتالپی پیوند گفته می شود. . به عنوان مثال برای شکستن پیوندهای موجود در یک مول (H2)g و تبدیل آن به دو مول اتم هیدروژن گازیkJ ٤٣٦ انرژی لازم است.
بنابراین از آنجا که شکستن یک پیوند همواره گرماگیر است آنتالپی آن همیشه مثبت است.
نکته: در مولکول هایی مانند NH3، CH4، H2O که اتم مرکزی در آن ها به چند اتم یکسان با پیوند اشتراکی متصل است. از واژه میانگین آنتالپی پیوند استفاده می شود چون انرژی لازم برای شکستن این پیوند ها یکسان نیست.
نکته: آنتالپی واکنش تشکیل پیوند قرینه آنتالپی پیوند است.
نکته: آنتالپی پیوند های متفاوت به دو عامل وابسته است:
1) مرتبه پیوند (تعداد پیوند های بین دو اتم): هر چه مرتبه پیوند بیش تر باشد، انرژی پیوند بیش تر است.
2) شعاع اتم های تشکیل دهنده پیوند: هرچه شعاع اتم های تشکیل دهنده پیوند بیش تر باشد، آنتالپی پیوند کوچک تر است.
نکته: هم چنین در یک پیوند هرچه اختلاف الکترونگاتیوی بین دو اتم بیش تر باشد قطبیت پیوند بیش تر شده و جاذبه بین دو اتم قوی تر می شود لذا انرژی پیوند افزایش می یابد.
نکته: در اندازه گیری آنتالپی پیوند، همه مواد (واکنش دهنده ها و فراورده ها) باید گازی شکل باشند زیرا اگر ماده اولیه در حالت جامد یا مایع باشد باید مقداری انرژی صرف غلبه بر نیروهای بین ذره ای آن کرد. به عبارت دیگر مقداری انرژی صرف تبخیر یا ذوب آن ماده می شود که این امر اندازه گیری آنتالپی پیوند را دچار خطا می کند.
آنتالپی پیوند، برای محاسبه تغییرات آنتالپی واکنش
آنتالپی سوختن:
سوختن تغییر شیمیایی است که طی آن یک ماده به سرعت واکنش می دهد و انرژی زیادی به صورت گرما آزاد می کند. آنتالپی واکنشی را که در آن یک مول از ماده در مقدار اکسیژن کافی بسوزد، آنتالپی سوختن آن ماده می نامند که دارای واحد کیلوژول بر مول و علامت منفی است.
نکته: یکی از فرآورده های سوختن مواد آلی به صورت H2O است که به صورت مایع است.
نکته: هر چه جرم هیدروکربنی بیش تر باشد، گرمای حاصل از سوختن آن بیش تر است.
نکته: گرمای حاصل از سوختن آلکان ها از الکل های هم کربن خودشان بیش تر است.
نکات حفظی:
1- سوخت های سبز در ساختار خود علاوه بر هیدروژن و کربن، اکسیژن نیز دارند و از پسماند های گیاهی مانند سویا، نیشکر و دیگر دانه های روغنی اسخراج می شوند. بنابراین اتانول نیز سوخت سبز به شمار می رود.
2- هرگاه بدن نیاز فوری به انرژی داشته باشد، مصرف موادی که کربوهیدرات زیادی دارند، توصیه می شود.
3- هرگاه بدن برای انجام فعالیت های فیزیکی در مدت طولانی نیاز به انرژی داشته باشد مصرف موادی که چربی بیشتری دارند توصیه می شود.
گروه های عاملی مهم اکسیژن دار
گروه کربونیل
این گروه عاملی مختص آلدهید ها و کتون هاست. در آلدهید ها این گروه عاملی در ابتدای زنجیره کربنی قرار می گیرد و از یک سمت حتما به H متصل است. مانند بنزآلدهید. ولی در کتون ها این گروه عاملی از هر دو سمت به کربن متصل است.
گروه هیدروکسیل
این گروه عاملی مختص الکل ها است. مانند ترکیب آلی موجود در گشنیز که سبب طعم و بوی آن می شود.
گروه اتری
این گروه مختص اتر هاست. مانند ترکیب آلی موجود در رازیانه که موجب ایجاد طعم و بوی آن می شود.
ایزومر
به موادی که فرمول مولکولی یکسان ولی ساختار متفاوتی دارند، ایزومر یا هم پار گفته می شود.
ایزومر ها دارای خواص فیزیکی و شیمیایی متفاوتی هستند و محتوی انرژی آن ها نیز با هم متفاوت است.
نکته: آلدهید ها و کتون های سیر شده و هم کربن ایزومر هستند.
نکته: الکل ها و اترهای سیر شده و هم کربن نیز ایزومر هستند.
تست :
غذای سالم و آهنگ واکنش:
شرایط زیر فساد مواد غذایی را به تاخیر می اندازد و ماندگاری را افزایش می دهد:
محیط سرد، محیط خشک، محیط تاریک و حذف اکسیژن از محیط
سرعت واکنش از دیدگاه کمی:
از آنجا که در یک واکنش شیمیایی با گذشت زمان، واکنش دهنده ها مصرف و فرآورده ها تولید می شوند. می توان آهنگ مصرف واکنش دهنده ها و تولید فر آورده ها را در بازه ای از زمان اندازه گیری کرد.
سرعت متوسط یک ماده واکنش دهنده در واکنش:
سرعت مصرف یا تولید آن ماده در گستره ی زمانی قابل اندازه گیری(R>0) در واکنش فرضی A→B
سرعت انجام واکنش به نوع مواد واکنش دهنده، سطح تماس واکنش دهنده ها، غلظت واکنش دهنده ها، دما و کاتالیزگر وابسته است.
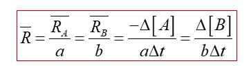
سرعت واکنش: اگر سرعت تولید یا مصرف هر یک از مواد شرکت کننده در واکنش را بر ضریب استوکیومتری آن ماده تقسیم کنیم، سرعت متوسط واکنش حاصل می شود.
سرعت متوسط واکنش گازی: aA → bB
از رابطه زیر به دست می آید:
تست :
دوستان عزیز می توانید برای دسترسی به نسخه کامل خلاصه نکات به همراه پاسخ فایل پی دی اف زیر را دانلود کنید!
فراموش نکنید اگر سوالی در رابطه با این مبحث داشتید می توانید به راحتی در کامنت ها سوال خود را برای ما بنویسید.
با آرزوی موفقیت و کامیابی
