کنکوری عزیز
یکی از مباحث مهمی که امسال باتوجه به حذفیات کرونایی مدنظر طراحان کنکور میتواند قرار گیرد، حرکت همزمان دو متحرک با سرعت ثابت است .
در حالت کلی این تیپ سؤال میتواند به 2 شاخه اصلی تقسیم شود :
1- حرکت دو متحرک در یک جهت
2- حرکت دو متحرک خلاف جهت هم
که هر یک ازین دو حالت میتواند ((در یک لحظه یا با اختلاف زمانی t ثانیه )) ، ((در یک نقطه یا با فاصلهی مکانی d نسبت به هم )) و یا ترکیبی ازینها برای دو متحرک رخ دهد .
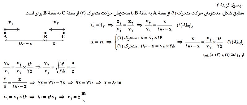
به تست زیر که در کنکور ریاضی 99 خارج مطرح شده است توجه کنید :
در فایل ضمیمه سؤالات متنوعی پیرامون همین موضوع به همراه پاسخ تشریحی گردآوری شده است که با بررسی آن با انواع مختلفی از سوالات محتمل کنکوری آشنا میشوید .
