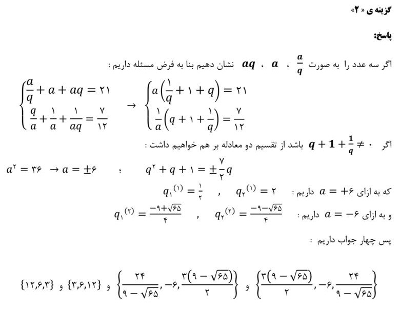
تست چالشی از مبحث دنباله - مهدی حاجی‌نژادیان+پاسخ

تست چالشی از مبحث دنباله - مهدی حاجی‌نژادیان-قابل مشاهده در لینک بالا:

تست چالشی از مبحث دنباله - مهدی حاجی‌نژادیان+پاسخ

دوستان کنکوری عزیز سلام 

مهدی حاجی‌نژادیان از مبحث دنباله تست چالشی زیر را ارائه داده است. 

با مشارکت در بخش کامنتها پاسخ پیشنهادی خود را بفرمایید.


آرین فلاح اسدی
ارسال شده توسط : آرین فلاح اسدی
Menu