شما پرسیدین! (شیمی: دوازدهم) - مهدیه امین 21 مرداد

در این مطلب بهترین پرسش و پاسخ‌های درس شیمی دوازدهم منطبق با آزمون 24 مرداد از قسمت کامنت‌های سایت کانون، گردآوری شده است، و همچنین پاسخ‌های تکمیلی به سوالات داده شده است.

شما پرسیدین! (شیمی: دوازدهم) - مهدیه امین 21 مرداد

سلام

در این مطلب بهترین پرسش و پاسخ های درس شیمی دوازدهم منطبق با آزمون 24 مرداد از قسمت کامنت های سایت کانون، گردآوری شده است، و همچنین پاسخ های تکمیلی به سوالات داده شده است.

اگر سوال دیگری درباره این مبحث دارین میتونین در قسمت کامنت های این مطلب عنوان کنید.


مباحث شیمی دوازدهم


کامنت  شاهین سبزی، تجربى نظام جدید -  ایلام: عدد اکسایش "کروم پنج اکسید" چنده؟_تاریخ ثبت: 13990509

پاسخ کامنت  امیرحسین حسن بکی صومعه، تجربى نظام جدید -  عجب شیر - میانگین تراز 6891: عدد اکسایش کروم پنجه و عدد اکسایش اکسیژن منفی دوئه._تاریخ ثبت: 13990509

پاسخ کامنت  صبا مرادی، تجربى نظام جدید -  جوانرود: اگر بارش خنثی س عدد اکسایش کروم میشه پنج_تاریخ ثبت: 13990509


کامنت  کاربر: در عبارت "در حلبی خراشیده شده در هوای مرطوب فلز اهن نقش آند و قلع نقش کاتد رو داره." این اشتباه نیست؟ مگه نباید اکسیژن باشه؟_تاریخ ثبت: 13990510

پاسخ کامنت  کاربر: درسته قلع نقش کاتد رو داره ولی واکنش کاهشی برا اکسیژنه_تاریخ ثبت: 13990510

توضیح تکمیلی:


کامنت  کاربر: چجوری آنتالپی فروپاشی دو تا ترکیب رو باهم مقایسه میکنین اول مقایسه کاتیون بعد آنیون؟_تاریخ ثبت: 13990513

پاسخ کامنت  صبا مرادی، تجربى نظام جدید -  جوانرود: کلا آنتلاپی فروپاشی با بار رابطه مستقیم و با شعاع رابطه عکس داره. اولویت مقایسه هم با بار هستش. اگه بار برابر بود اونوقت میریم شعاع رو مقایسه میکنیم_تاریخ ثبت: 13990513


کامنت  کاربر: اس موجود توی سولفونات پاک کننده‌های غیرصابونی،با اون سه تا اتم اکسیژن دیگه پیوند یگانه داره؟_تاریخ ثبت: 13990311

پاسخ کامنت  صبا مرادی، تجربى نظام جدید -  جوانرود: نه، با دوتا از اکسیژن‌ها پیوند دوگانه داره_تاریخ ثبت: 13990311

توضیح تکمیلی:


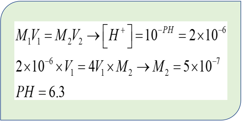
کامنت  محمدرضا نجفی وثوق، تجربى نظام جدید -  لالجین - میانگین تراز 6845:  میشه راه حلتون رو بگید؟ با افزودن آب به محلول هیدروسیانیک اسید با پی هاچ5.7 در دمای ثابت حجم محلول را 4 برابر میکنیم پی هاچ(پی اچ) محلول جدید تقریباً چقدر است⁉️1)6 2)6.3 3)5.4 4)6.7_تاریخ ثبت: 13990312

پاسخ کامنت  فاطمه جعفری بخشکندی، تجربى نظام جدید -  سلماس - میانگین تراز 6992: سلام گزینه 2 درسته.  از رابطه حجم اولی ضربدر غلظت اولی مساوی حجم دومی ضربدر غلظت دومی میشه استفاده کرد (چون مول هاش مثبت ثابته) که غلظت دومی اینجا به دست میاد 5ضربدر ده به توان منفی 7. و از اونجا پی هاش به دست میاد 6.3_تاریخ ثبت: 13990312

توضیح تکمیلی:


کامنت  کاربر: فرق یونش و تفکیک یونی چیه؟_تاریخ ثبت: 13990313

پاسخ کامنت  مائده امینی نیا، تجربى نظام جدید -  تنکابن - میانگین تراز 7526: تفکیک یونی برای ترکیبات یونی و یونش برای ترکیب غیر یونی_تاریخ ثبت: 13990313


مطلب هفته:


تست:

پاسخ تست:



مهدیه امین، دانشجوی مهندسی شیمی دانشگاه شریف

نوید آرمات، دانشجوی مهندسی عمران دانشگاه تهران

Menu